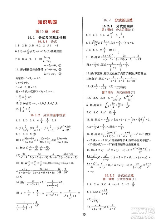
数学题的积累能构建结构化思维,在反复练习中掌握关键思路,形成高效解题策略,考场上稳操胜券,四川教育出版社2025年春新课程实践与探究丛书八年级数学下册华师版答案小编已经为大家收集整理好了,本书的ISBN为9787540839482,练习完的同学们可以来答案圈核对一下答案。

答案如下,仅供参考:
































四川教育出版社2025年春新课程实践与探究丛书八年级数学下册北师大版答案
2025-05-27 09:24:08
坚持数学练习可塑造逻辑化思维框架,通过题目实战内化核心技巧,强化知识关联性,考试应对更加自如,四川教育出版社2025年春新课程实践与探究丛书八年级数学下册北师大版答案小编已
四川教育出版社2025年春新课程实践与探究丛书八年级英语下册人教版答案
2025-05-27 09:19:02
英语要求日益提高,同学们需坚持词汇记忆,辅以专题训练和全面复习,达成稳步成长,四川教育出版社2025年春新课程实践与探究丛书八年级英语下册人教版答案小编已经为大家收集整理好
四川教育出版社2025年春新课程实践与探究丛书七年级地理下册粤人版答案
2025-05-27 09:15:13
四川教育出版社2025年春新课程实践与探究丛书七年级地理下册粤人版答案小编已经为大家收集整理好了,学业上的卓越表现离不开反复练习,同学们只有坚持高频次的训练,才能扎实掌握
四川教育出版社2025年春新课程实践与探究丛书七年级地理下册商务星球版答案
2025-05-27 09:12:48
四川教育出版社2025年春新课程实践与探究丛书七年级地理下册商务星球版答案小编已经为大家收集整理好了,想要在学业上脱颖而出,就必须重视日常练习,频繁的复习和训练能加深记忆