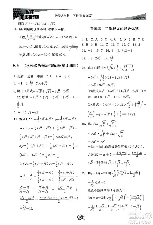
今天小编为同学们整理了北京教育出版社2025年春初中同步练习册八年级数学下册青岛版答案,本练习让同学们可以进行课后训练,不仅能够帮助学生更好地理解和巩固学过的内容,还能够让他们在解题过程中发现自身在知识掌握上的漏洞与不足,练习完的同学们可以来答案圈核对一下答案。

答案如下,仅供参考:

















































北京师范大学出版社2025年春初中同步练习册八年级数学下册北师大版答案
2025-04-07 15:09:55
数学学习并非简单的课堂听讲,它要求同学们在课后通过大量的练习,将老师传授的知识应用到实际操作当中,今天小编为同学们整理了北京师范大学出版社2025年春初中同步练习册八年级
大象出版社2025年春初中同步练习册八年级数学下册人教版山东专版答案
2025-04-07 14:52:59
今天小编为同学们整理了大象出版社2025年春初中同步练习册八年级数学下册人教版山东专版答案,通过不断的练习实践,同学们不仅能够加深对数学概念的理解,还能够在解决问题的过程
山东教育出版社2025年春初中同步练习册八年级数学下册人教版山东专版答案
2025-04-07 14:41:19
数学学习需要同学们通过大量的练习,将课堂上的知识应用于实际操作中,从而发现并弥补知识上的漏洞,今天小编为同学们整理了山东教育出版社2025年春初中同步练习册八年级数学下册
人民教育出版社2025年春初中同步练习册八年级数学下册人教版答案
2025-04-07 14:24:34
数学这门学科需要同学们大量的进行练习训练,以便将课堂上的理论知识应用于实际情境中,进而识别并弥补知识上的不足,今天小编为同学们整理了人民教育出版社2025年春初中同步练习