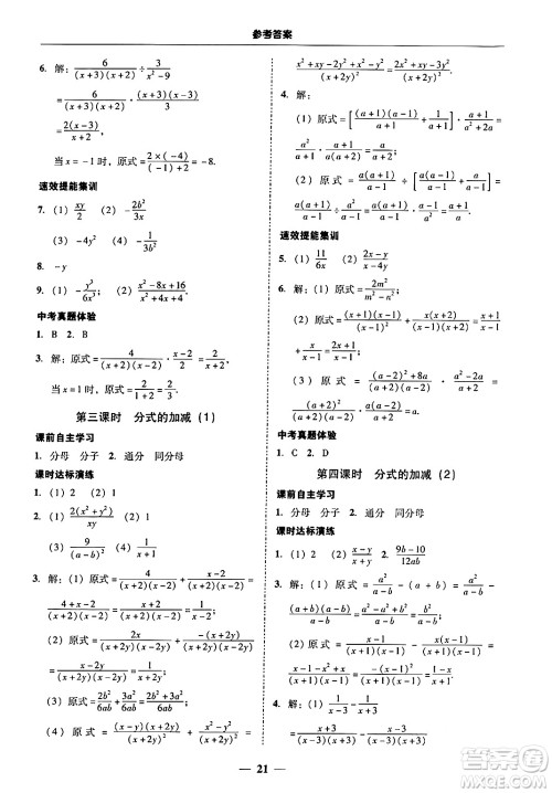
今天小编为同学们整理了广东教育出版社2024年秋南粤学典学考精练八年级数学上册人教版答案,本练习帮助同学们课后进行回顾复习训练,帮助同学们巩固所学的知识,提高同学们的数学成绩,练习完的同学可以来答案圈核对一下答案。

答案如下,仅供参考:
























广东教育出版社2024年秋南粤学典学考精练八年级英语上册人教版答案
2024-10-31 13:42:16
英语这门学科在八年级难度会有所增加,同学们要利用好课余时间,将课堂上所学的知识点掌握牢固,今天小编为同学们整理了广东教育出版社2024年秋南粤学典学考精练八年级英语上册人
广东教育出版社2024年秋南粤学典学考精练八年级英语上册人教版答案
2024-10-31 13:42:16
英语这门学科在八年级难度会有所增加,同学们要利用好课余时间,将课堂上所学的知识点掌握牢固,今天小编为同学们整理了广东教育出版社2024年秋南粤学典学考精练八年级英语上册人
广东教育出版社2024年秋南粤学典学考精练七年级生物上册北师大版答案
2024-10-31 13:28:59
进入初中,同学们会增加很多副科,虽然是副科,但成绩却影响着中考总成绩,同学们要重视起来,今天小编为同学们整理了广东教育出版社2024年秋南粤学典学考精练七年级生物上册北师大版
广东教育出版社2024年秋南粤学典学考精练七年级生物上册人教版答案
2024-10-31 11:41:24
七年级同学们接触了很多新的学科,想要提高各学科成绩,同学们要在课下多做练习训练,巩固所学知识。今天小编为同学们整理了广东教育出版社2024年秋南粤学典学考精练七年级生物上