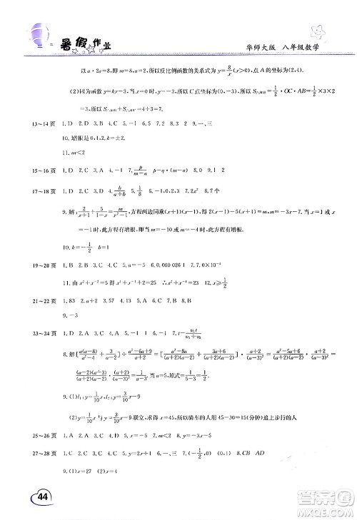
进入暑假,同学们都有暑假作业,帮助同学们巩固和深化学习知识,及时巩固所学的内容,了解自己的学习情况,今天小编为同学们整理了中原农民出版社2024年假期园地暑假作业八年级数学华师版答案,练习完的同学可以来答案圈核对一下答案。

答案如下,仅供参考:




中原农民出版社2024年假期园地暑假作业七年级数学华师版答案
2024-08-13 17:53:12
今天小编为同学们整理了中原农民出版社2024年假期园地暑假作业七年级数学华师版答案,本练习层次性的作业设计体系,进而为提高作业设计质量、减轻学生过重作业负担提供新的思考
中原农民出版社2024年假期园地暑假作业八年级英语人教版答案
2024-08-13 17:37:37
今天小编为同学们整理了中原农民出版社2024年假期园地暑假作业八年级英语人教版答案,本练习基于学生综合素养,以掌握的系统知识为基础,将知识记忆转换为基于个体的知识建构和能
中原农民出版社2024年假期园地暑假作业七年级英语人教版答案
2024-08-13 17:22:08
今天小编为同学们整理了中原农民出版社2024年假期园地暑假作业七年级英语人教版答案,本练习帮助同学们自觉对发现的问题,对作业的过程进行反思,包括错题分析和整体反思,自我评价
延边人民出版社2024年励耘精品快乐暑假八年级数学浙教版答案
2024-08-13 17:10:22
今天小编为同学们整理了延边人民出版社2024年励耘精品快乐暑假八年级数学浙教版答案,本练习激发同学们的学习兴趣、铺垫学习背景、帮助记忆,同时提高熟练性,帮助学生更好地理解