我们知道,初二年级的学习很重要,数学科目要认真对待,课下务必勤做练习。今天搜集了时代学习报数学周刊2023年秋八年级上册22-25期参考答案,感兴趣的可以收藏,不过切勿照抄哦!

答案如下:











时代学习报初中版2023年秋八年级语文上册21-26期参考答案
2024-01-24 14:55:46
小编搜集了时代学习报初中版2023年秋八年级语文上册21-26期参考答案,内容新颖,感兴趣的可以看过来。这是为初二年级学生整理的报纸答案,希望能帮助你们提高语文成绩。不过,答案
时代学习报数学周刊2023年秋七年级上册寒假特刊1-4期参考答案
2024-01-24 14:47:57
时间到了1月下旬,初中生马上就要放寒假了,大家要做好时间规划,争取提高成绩。今天整理了时代学习报数学周刊2023年秋七年级上册寒假特刊1-4期参考答案,感兴趣的可以看过来,切勿照
时代学习报初中版2023年秋七年级语文上册增刊1-4期参考答案
2024-01-24 14:41:21
对于初一年级的学生来说,语文科目的学习内容不少,想要拿到好成绩就得多背多思考,该做的练习不能偷懒。今天分享时代学习报初中版2023年秋七年级语文上册增刊1-4期参考答案,赶紧
时代学习报数学周刊2023年秋七年级上册21-26期参考答案
2024-01-24 14:30:12
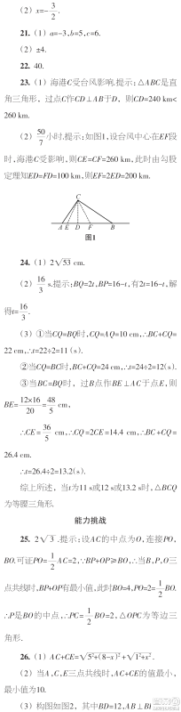
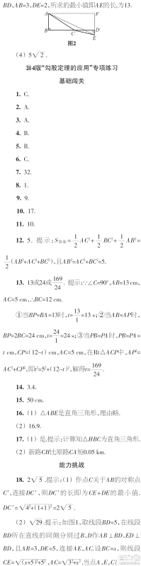
小编搜集了时代学习报数学周刊2023年秋七年级上册21-26期参考答案,内容丰富,感兴趣的可以看过来。在初一年级,数学科目的学习内容不少,大家要多花心思,课下务必勤做练习。注意,答