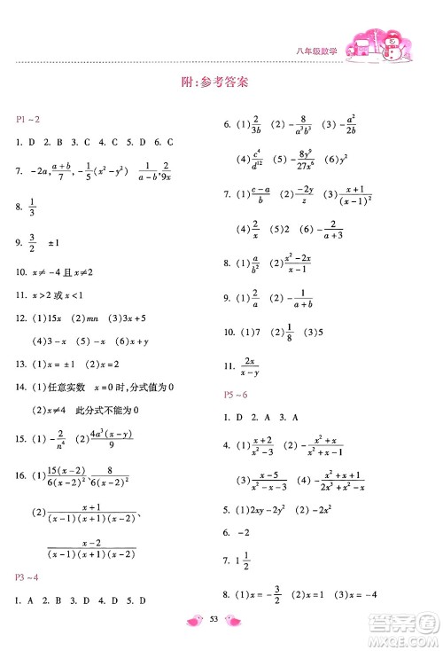
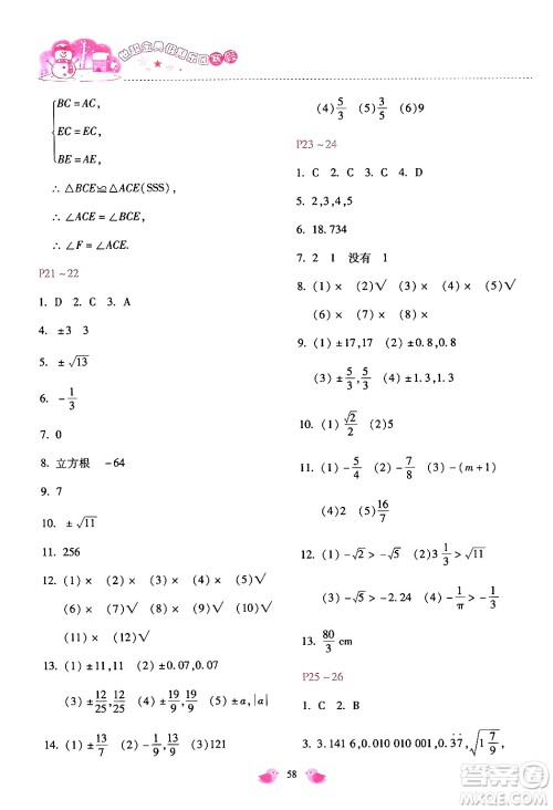
进入八年级,数学这门学科的难度会有所增加,同学们要重视起来,通过练习来巩固好知识,今天小编为同学们整理了河北少年儿童出版社2024世超金典假期乐园寒假八年级数学通用版答案,练习完的同学们可以来答案圈核对一下答案。

答案如下,仅供参考:










河北少年儿童出版社2024世超金典假期乐园寒假七年级数学通用版答案
2024-01-19 10:33:05
数学这门学科在初中很重要,同学们要重视起来,在假期要多花时间,多做练习,今天小编为同学们整理了河北少年儿童出版社2024世超金典假期乐园寒假七年级数学通用版答案,练习完的同学
河北少年儿童出版社2024世超金典假期乐园寒假八年级英语人教版答案
2024-01-19 10:10:29
进入八年级,英语这门学科的难度会有所增加,同学们要通过实操来运用所学的知识,今天小编为同学们整理了河北少年儿童出版社2024世超金典假期乐园寒假八年级英语人教版答案,练习完
河北少年儿童出版社2024世超金典假期乐园寒假七年级英语人教版答案
2024-01-19 09:46:18
七年级的英语难度还不大,同学们可以从现在开始打好基础,将所学的知识掌握牢固,今天小编为同学们整理了河北少年儿童出版社2024世超金典假期乐园寒假七年级英语人教版答案,练习完
合肥工业大学出版社2024赢在寒假衔接教材八年级数学沪科版参考答案
2024-01-18 17:51:18
今天整理了合肥工业大学出版社2024赢在寒假衔接教材八年级数学沪科版参考答案,感兴趣的可以看过来。这是为初二年级学生搜集到的数学寒假练习册答案,内容丰富,希望能帮助你们提