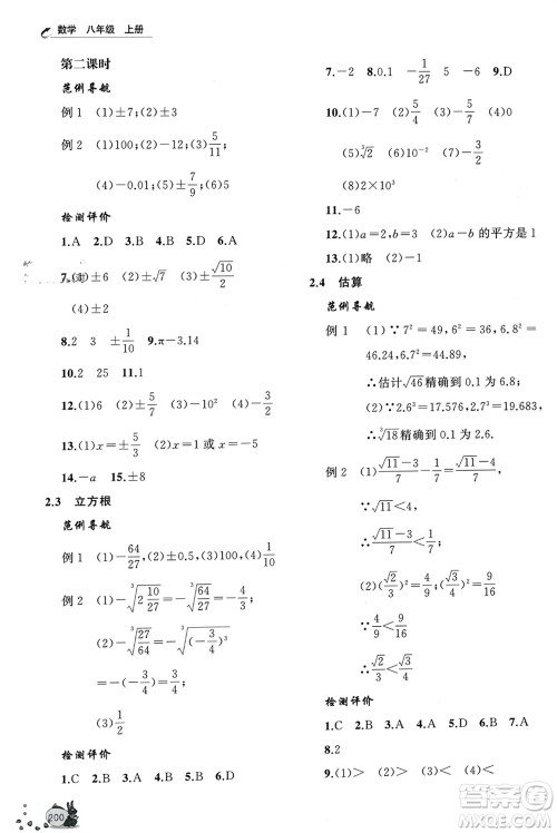
在初二年级,数学科目的学习内容增加了,大家要把握住机会,尤其是课堂内外,争取拿到好成绩。小编整理了山东友谊出版社2023年秋伴你学新课程助学丛书八年级数学上册通用版参考答案,感兴趣的可以收藏,切忌照抄哦!

答案如下:
























山东友谊出版社2023年秋伴你学新课程助学丛书八年级生物上册人教版参考答案
2023-12-04 11:05:06
到了初二年级,学生们的学习压力增加了,生物科目想要拿到好成绩就得坚持做练习,课余时间务必得把握住。小编分享山东友谊出版社2023年秋伴你学新课程助学丛书八年级生物上册人教
山东友谊出版社2023年秋伴你学新课程助学丛书八年级物理上册通用版参考答案
2023-12-04 10:55:17
到了初二年级,学生们要关注物理科目的学习情况,每天下课记得做练习,争取把知识点掌握清楚。小编整理了山东友谊出版社2023年秋伴你学新课程助学丛书八年级物理上册通用版参考答
山东友谊出版社2023年秋伴你学新课程助学丛书八年级语文上册人教版参考答案
2023-12-04 10:39:35
小编整理了山东友谊出版社2023年秋伴你学新课程助学丛书八年级语文上册人教版参考答案,感兴趣的可以收藏起来。这是为初二年级学生搜集到的语文练习册答案,希望能帮到你们。当
山东友谊出版社2023年秋伴你学新课程助学丛书七年级中国历史上册通用版参考答案
2023-12-04 10:36:13
到了初一年级,学生们要珍惜时间,除了课堂上认真听讲,课下也得勤做练习,千万别偷懒。今天分享山东友谊出版社2023年秋伴你学新课程助学丛书七年级中国历史上册通用版参考答案,感兴