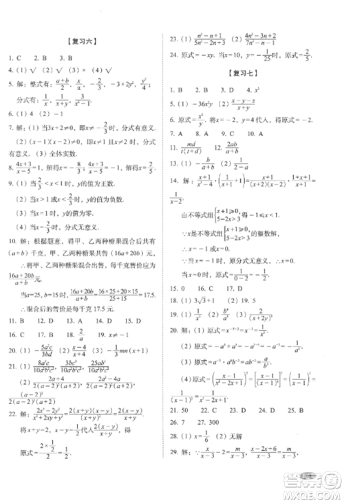
今天整理了长春出版社2022聚能闯关100分期末复习冲刺卷八年级数学上册人教版参考答案,感兴趣的看过来吧。进入八年级,很多科目的学习难度增加了,不少学生会在周末上补习班,为的就是提升自身能力,避免偏科情况的出现。

答案如下:
















长春出版社2022聚能闯关100分期末复习冲刺卷八年级英语上册人教版参考答案
2022-12-23 14:13:36
今天整理了长春出版社2022聚能闯关100分期末复习冲刺卷八年级英语上册人教版参考答案,如果你感兴趣,那么可以自行搜索了解。初二年级的学习内容增加了不少,为了提升自己的成绩,
长春出版社2022聚能闯关100分期末复习冲刺卷七年级生物上册人教版参考答案
2022-12-23 14:04:33
小编今天分享长春出版社2022聚能闯关100分期末复习冲刺卷七年级生物上册人教版参考答案,希望能够帮助大家提升生物成绩。从进入初中开始,各科的学习压力就铺面而来,不管是主课
长春出版社2022聚能闯关100分期末复习冲刺卷七年级英语上册人教版参考答案
2022-12-23 13:53:26
今天整理了长春出版社2022聚能闯关100分期末复习冲刺卷七年级英语上册人教版参考答案,欢迎大家积极查阅。初中阶段的英语难度不低,如果你小学的时候没有把基础打好,那么初中务
长春出版社2022聚能闯关100分期末复习冲刺卷七年级语文上册人教版参考答案
2022-12-23 13:46:33
今天整理了长春出版社2022聚能闯关100分期末复习冲刺卷七年级语文上册人教版参考答案,感兴趣的看过来吧。我们知道,初一年级的语文是主课之一,它的学习难度比小学高了不少,大家