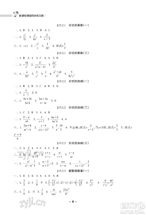
海南出版社2022新课程课堂同步练习册八年级上册数学人教版参考答案小编已经为大家收集整理好了,本书是海南出版社出版设计,本书针对八年级数学课上所学的各个知识点对学生进行全面辅导,减少学生做题错误率,从而帮助学生提高自身成绩,如果你正在使用这本书,大家可以到答案圈核对一下答案,看看你自己做的对不对,但是不要抄答案哦!

答案如下:












海南出版社2022新课程课堂同步练习册八年级上册数学华东师大版参考答案
2022-12-05 09:32:56
海南出版社2022新课程课堂同步练习册八年级上册数学华东师大版参考答案小编已经为大家收集整理好了,本书是海南出版社出版设计,本书贴合数学教科书进行编写,从内容讲解到典题剖
海南出版社2022新课程课堂同步练习册八年级上册英语外研版参考答案
2022-12-05 08:59:56
海南出版社2022新课程课堂同步练习册八年级上册英语外研版参考答案小编已经为大家收集整理好了,本书是海南出版社出版设计,这本书根据初中生的特点,帮助学生克服学习过程中的恶
海南出版社2022新课程课堂同步练习册八年级上册语文人教版参考答案
2022-12-05 08:54:54
海南出版社2022新课程课堂同步练习册八年级上册语文人教版参考答案小编已经为大家收集整理好了,本书是海南出版社出版设计,本书便于学生形成系统化的知识体系,及迅速提高自己的
海南出版社2022新课程课堂同步练习册七年级上册英语人教版参考答案
2022-12-05 08:39:34
海南出版社2022新课程课堂同步练习册七年级上册英语人教版参考答案小编已经为大家收集整理好了,本书是海南出版社出版设计,有兴趣的同学,可以试着到答案圈查阅参考一下哦!海南出