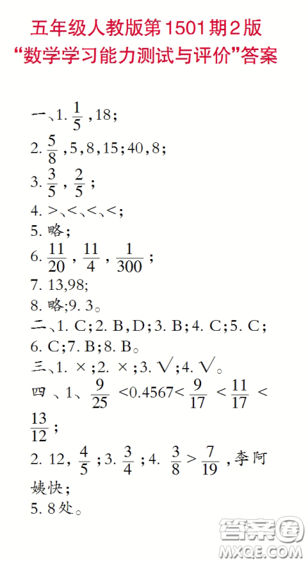
小编这次收集整理的是小学生数学报五年级下学期第1501期的答案,使用这本练习册的可以来检查一下,看看自己做的对不对,不要直接照抄答案哦,当然其他学科的和其他年级的直接站内搜书名吧!

小学生数学报五年级下学期第1501期答案如下,仅供参考!



2020年小学生数学报一年级下学期第1505期答案
2020-05-11 11:34:36
小编这次收集整理的是小学生数学报一年级下学期第1505期的答案,使用这份报纸的可以来检查一下,看看自己做的对不对,不要直接照抄答案,其他年级的直接站内搜书名吧!2020年小学生数
2020年小学生数学报一年级下学期第1504期答案
2020-05-11 11:23:06
小编这次收集整理的是小学生数学报一年级下学期第1504期的答案,使用这份报纸的可以来检查一下,看看自己做的对不对,不要直接照抄答案哦!2020年小学生数学报一年级下学期第1504期
2020年小学生数学报一年级下学期第1503期答案
2020-05-11 11:12:10
小学生数学报一年级下学期第1503期的答案小编已经收集整理好了,在做完了之后可以来检查一下,看看自己做的对不对,不要直接照抄答案哦,当然其他学科的和其他年级的也有,直接站内搜
2020年小学生数学报一年级下学期第1502期答案
2020-05-11 10:53:54
小编这次收集整理的是小学生数学报一年级下学期第1502期的答案,使用这份报纸的可以来检查一下,看看自己做的对不对,不要直接照抄答案,其他期数的也有,直接站内搜小学生数学报就行