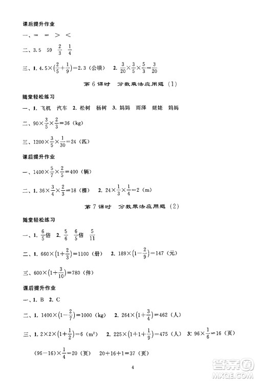
今天小编为同学们整理了人民教育出版社2024年秋同步轻松练习六年级数学上册人教版答案,本练习主要针对数学基础薄弱的学生所设计,大幅度提高学生数学基础知识熟悉掌握程度以及学生对数学的兴趣,本书的ISBN为9787107326943,练习完的同学可以来答案圈核对一下答案。

答案如下,仅供参考:






















华东师范大学出版社2024年秋华东师大版一课一练六年级数学上册华师版增强版上海专版答案
2024-10-02 08:29:44
数学这门学科会随着年级的增加而增加难度,同学们要重视起来,通过训练来及时回顾知识点,今天小编为同学们整理了华东师范大学出版社2024年秋华东师大版一课一练六年级数学上册华
华东师范大学出版社2024年秋华东师大版一课一练六年级数学上册华师版上海专版答案
2024-10-02 08:25:41
进入小学六年级,数学这门学科的难度不小,同学们要通过实操来巩固课堂上的知识点,今天小编为同学们整理了华东师范大学出版社2024年秋华东师大版一课一练六年级数学上册华师版上
湖北教育出版社2024年秋长江作业本同步练习册六年级数学上册人教版答案
2024-09-30 11:00:49
进入小学六年级,数学这门学科的难度会增大,同学们可以通过练习训练进行巩固,通过训练拓展思维能力,今天小编为同学们整理了湖北教育出版社2024年秋长江作业本同步练习册六年级数
江西人民出版社2024年秋王朝霞考点梳理时习卷六年级数学上册北师大版答案
2024-09-29 15:28:18
数学这门学科会随着年级的增加而增加难度,同学们要重视起来,可以通过练习巩固知识,提高成绩,今天小编为同学们整理了江西人民出版社2024年秋王朝霞考点梳理时习卷六年级数学上册