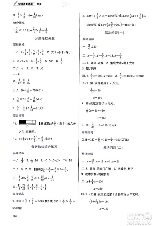
数学这门学科在六年级难度不小,同学们要多进行实操练习,更系统的运用所学知识,帮助同学们查缺补漏,今天小编为同学们整理了天津教育出版社2024年秋学习质量监测六年级数学上册人教版答案,本书的ISBN为9787530929209,练习完的同学可以来答案圈核对一下答案。

答案如下,仅供参考:
















人民教育出版社2024年秋同步练习册六年级数学上册人教版新疆专版答案
2024-11-08 13:49:27
数学这门学科需要同学们多做练习,通过实操运用课堂上的知识,把课堂上的知识搞懂吃透,课后通过练习巩固复习,今天小编为同学们整理了人民教育出版社2024年秋同步练习册六年级数学
吉林教育出版社2024年秋三维数字课堂六年级数学上册人教版答案
2024-11-07 16:21:25
数学不是死记硬背公式,也不是不停的刷题,而是要同学们理解数学原理,培养逻辑思维,数学就在生活中,今天小编为同学们整理了吉林教育出版社2024年秋三维数字课堂六年级数学上册人教
西北大学出版社2024年秋同步拓展与训练六年级数学上册北师大版答案
2024-11-06 17:23:39
数学这门学科在六年级难度不小,同学们要通过训练来巩固好课堂上所学的重难点知识,提升数学成绩,今天小编为同学们整理了西北大学出版社2024年秋同步拓展与训练六年级数学上册北
广西教育出版社2024年秋自主学习能力测评六年级数学上册苏教版答案
2024-11-06 09:18:38
进入小学六年级,数学这门学科的难度会有所增加,同学们可以通过训练来回顾课堂上所学的重难点知识,今天小编为同学们整理了广西教育出版社2024年秋自主学习能力测评六年级数学上