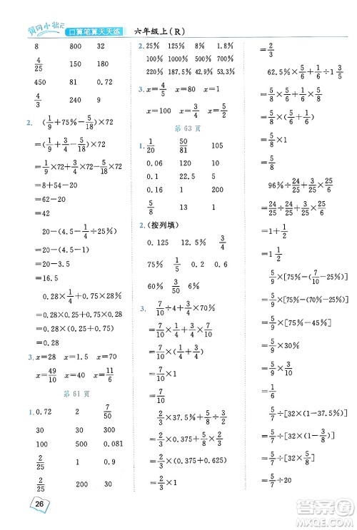
数学这门学科需要同学们有灵活的思维能力,同时计算能力也很重要,同学们通过训练来进行提升,今天小编为同学们整理了龙门书局2024年秋黄冈小状元口算笔算天天练六年级数学上册人教版答案,本书的ISBN为9787508864235,练习完的同学可以来答案圈核对一下答案。

答案如下,仅供参考:
































大连出版社2024年秋点石成金金牌每课通六年级数学上册北师大版答案
2024-12-18 09:22:40
进入小学六年级,同学们的时间会紧张很多,在课下同学们要利用好时间,对薄弱学科进行巩固训练,今天小编为同学们整理了大连出版社2024年秋点石成金金牌每课通六年级数学上册北师大
北京师范大学出版社2024年秋京师普教伴你学同步学习手册六年级数学上册北师大版答案
2024-12-17 16:06:07
进入小学六年级,数学这门学科的难度不小,同学们要多做练习,通过实操运用所学的内容,今天小编为同学们整理了北京师范大学出版社2024年秋京师普教伴你学同步学习手册六年级数学上
新疆青少年出版社2024年秋优学1+1评价与测试六年级数学上册通用版答案
2024-12-16 17:06:54
六年级同学们的时间会很紧张,学习压力也会增大一些,同学们要平衡好时间,巩固好薄弱的学科,争取不偏科,今天小编为同学们整理了新疆青少年出版社2024年秋优学1+1评价与测试六年级
天津科学技术出版社2024年秋金优教辅夺冠新课堂随堂练测六年级数学上册苏教版答案
2024-12-13 16:09:56
今天小编为同学们整理了天津科学技术出版社2024年秋金优教辅夺冠新课堂随堂练测六年级数学上册苏教版答案,本练习题型类型多样,贴合同学们的考试题型,帮助同学们训练理解能力,提