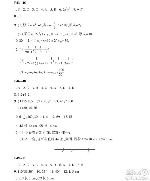
黑龙江少年儿童出版社2022Happy假日暑假六年级数学通用版答案小编已经收集整理好了,针对学生暑假学习和新学期衔接,让学生在假期复习上一学期知识点的同时预习下学期学习内容,帮助学生更好更快的融入新学期的学习中,练习完的伙伴可以来答案圈核对一下答案!

本书系列的其他年级和科目小编也有整理收集,需要核对答案的伙伴可以来答案圈对应的年级搜索查看!
















黑龙江少年儿童出版社2022Happy假日暑假六年级语文通用版答案
2022-07-13 16:52:57
黑龙江少年儿童出版社2022Happy假日暑假六年级语文通用版答案小编已经收集整理好了,针对学生暑假学习和新学期衔接,让学生在假期复习上一学期知识点的同时预习下学期学习内容,
江西人民出版社2022王朝霞小升初重点校毕业升学及招生分班六年级数学通用版答案
2022-06-23 14:59:38
江西人民出版社2022王朝霞小升初重点校毕业升学及招生分班六年级数学通用版答案小编为同学们整理好了,本书是由江西人民出版社出版发行,王朝霞主编,遵循每个学段的目标要求,整合
开明出版社2022小升初招生分班真题分类卷六年级数学通用版答案
2022-06-23 14:29:25
开明出版社2022小升初招生分班真题分类卷六年级数学通用版答案小编为同学们整理好了,本书是由开明出版社出版发行,刘增利主编,专题考点与教材同步,边学边练,夯实基础,融会贯通,巧练
江西人民出版社2022王朝霞小学毕业总复习综合能力验收卷六年级数学通用版答案
2022-06-22 17:12:38
江西人民出版社2022王朝霞小学毕业总复习综合能力验收卷六年级数学通用版答案小编为同学们整理好了,本书是由江苏人民出版社出版发行,王朝霞主编,好题汇集强化训练,覆盖所有常考