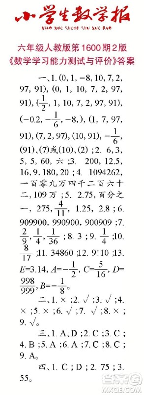
2022春小学生数学报六年级第1600期答案小编已经收集整理好了,针对小学数学课后巩固训练,提高学生对每个阶段所学知识的理解和运用。根据教材的不同,苏教版、人教版、北师大版的答案都有,需要核对参考的伙伴可以来答案圈查看!

本报纸的其他期刊答案小编也有收集整理,需要核对的伙伴可以在答案圈对应的年级搜索查看!



2022春小学生数学报六年级第1599期答案
2022-04-22 08:57:28
2022春小学生数学报六年级第1599期答案小编已经收集整理好了,针对小学数学课后巩固训练,提高学生对每个阶段所学知识的理解和运用。根据教材的不同,苏教版、人教版、北师大版的
2022春小学生数学报五年级第1600期答案
2022-04-22 08:46:34
2022春小学生数学报五年级第1600期答案小编已经收集整理好了,针对小学数学课后巩固训练,提高学生对每个阶段所学知识的理解和运用。根据教材的不同,苏教版、人教版、北师大版的
2022春小学生数学报五年级第1599期答案
2022-04-22 08:32:16
2022春小学生数学报五年级第1599期答案小编已经收集整理好了,针对小学数学课后巩固训练,提高学生对每个阶段所学知识的理解和运用。根据教材的不同,苏教版、人教版、北师大版的
2022春小学生数学报四年级第1600期答案
2022-04-22 08:23:19
2022春小学生数学报四年级第1600期答案小编已经收集整理好了,针对小学数学课后巩固训练,提高学生对每个阶段所学知识的理解和运用。根据教材的不同,苏教版、人教版、北师大版的