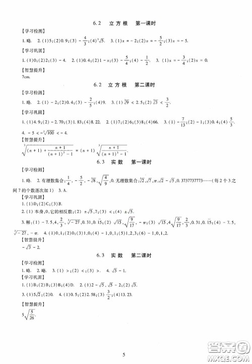
智慧学习七年级数学下册的答案小编已经收集整理好了,做完了的可以来检查一下,看看自己做的对不对,不要直接照抄答案哦,当然其他学科的和其他年级的也有,直接站内搜书名就可以了!

七年级数学下册答案如下,仅供参考哦!
















明天出版社2020智慧学习七年级地理下册答案
2020-05-12 09:25:04
智慧学习七年级地理下册的答案小编已经收集整理好了,做完了的可以来检查一下,看看自己做的对不对,不要直接照抄答案哦,当然其他学科的和其他年级的也有,直接站内搜书名就行了!明天
明天出版社2020智慧学习中国历史八年级下册答案
2020-05-12 09:11:00
小编这次收集整理的是智慧学习中国历史八年级下册的答案,使用这本练习册的可以来检查一下,看看自己做的对不对吧,不要直接照抄答案哦,当然其他学科的也有,直接站内搜书名就可以了
明天出版社2020智慧学习七年级英语下册答案
2020-05-11 18:06:32
小编这次收集整理的是2020智慧学习七年级英语下册的答案,这个系列的收集的大多都是人教版的,地方教材使用的比较多一些,做这本教辅的可以来检查一下,看看自己做的对不对,其他学科
明天出版社2020智慧学习生物学八年级全一册答案
2020-05-11 17:43:42
小编这次收集整理的是智慧学习生物学八年级全一册的答案,使用这本教辅的可以来看看,不要直接照抄答案,其他学科的和其他年级的也有哦,直接站内搜书名就可以了,非常方便!明天出版社