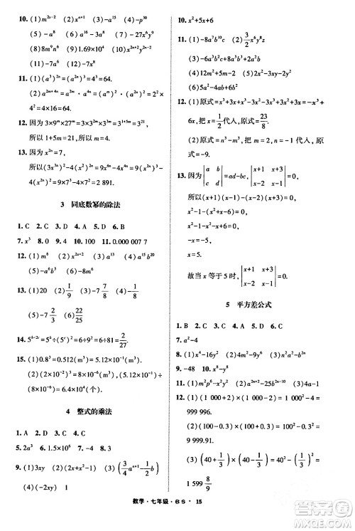
今天小编为同学们整理了宁夏人民教育出版社2024经纶学霸寒假总动员七年级数学北师大版答案,本练习将这学期所学的知识结合到练习当中,让同学们在假期可以通过练习来巩固知识,练习完的同学们可以来答案圈核对一下答案。

答案如下,仅供参考:
















宁夏人民教育出版社2024经纶学霸寒假总动员八年级物理人教版答案
2024-02-07 10:27:51
进入八年级,同学们新增加了物理这门学科,刚接触难度还不大,同学们可以打好基础,今天小编为同学们整理了宁夏人民教育出版社2024经纶学霸寒假总动员八年级物理人教版答案,练习完的
宁夏人民教育出版社2024经纶学霸寒假总动员八年级语文人教版答案
2024-02-07 10:10:13
今天小编为同学们整理了宁夏人民教育出版社2024经纶学霸寒假总动员八年级语文人教版答案,本练习将这学期所学的知识结合到练习当中,让同学们可以通过实操来及时运用知识,练习完
宁夏人民教育出版社2024经纶学霸寒假总动员七年级语文人教版答案
2024-02-07 09:48:56
语文这门学科在初中难度不小,同学们要重视起来,在假期要掌握好知识,提升成绩,今天小编为同学们整理了宁夏人民教育出版社2024经纶学霸寒假总动员七年级语文人教版答案,练习完的同
宁夏人民教育出版社2024经纶学霸寒假总动员八年级数学人教版答案
2024-02-07 09:07:42
今天小编为同学们整理了宁夏人民教育出版社2024经纶学霸寒假总动员八年级数学人教版答案,本练习将所学的知识结合到训练当中,让同学们可以在假期来巩固所学的知识点,练习完的同