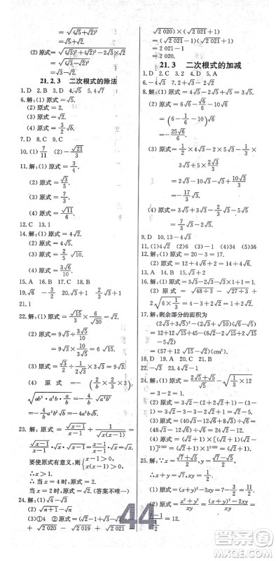
辽宁少年儿童出版社2021练重点九年级数学上册HS华师版河南专版答案小编为大家整理好了,本书是由辽宁少年儿童出版社出版,高明俊主编,结合河南地区教学,编写内容丰富,知识分布全,培养学生用一种方法解决一类题目的能力,拓宽思路,做完练习的同学快来答案圈看看自己做的怎么样吧!

参考答案下图所示,请同学们仔细核对。答案圈也有整理其他的参考资料,有需要的同学可以搜索查看。










































辽宁少年儿童出版社2021练重点八年级生物上册RJ人教版河南专版答案
2021-12-20 10:04:15
辽宁少年儿童出版社2021练重点八年级生物上册RJ人教版河南专版答案为大家整理好了,本书是由辽宁少年儿童出版社出版,高明俊主编,结合河南地区教学,瞄准课堂练习、课后作业和单元
辽宁少年儿童出版社2021练重点八年级地理上册RJ人教版河南专版答案
2021-12-20 09:46:19
辽宁少年儿童出版社2021练重点八年级地理上册RJ人教版河南专版答案为大家整理好了,本书是由辽宁少年儿童出版社出版,高明俊主编,结合河南地区教学,立足教材,贴近课堂,信息充足,知识
辽宁少年儿童出版社2021练重点八年级物理上册HK沪科版河南专版答案
2021-12-20 09:30:06
辽宁少年儿童出版社2021练重点八年级物理上册HK沪科版河南专版答案为大家整理好了,本书是由辽宁少年儿童出版社出版,高明俊主编,结合河南地区教学,书中对例题解读从重难点、解题
辽宁少年儿童出版社2021练重点八年级数学上册HS华师版河南专版答案
2021-12-20 09:12:28
辽宁少年儿童出版社2021练重点八年级数学上册HS华师版河南专版答案小编为大家整理好了,本书是由辽宁少年儿童出版社出版,高明俊主编,结合河南地区教学,按新课程标准的要求,分考点