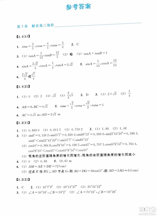
数学这门学科在九年级难度不小,同学们在课下要多花时间,通过训练来进行查缺补漏,今天小编为同学们整理了浙江教育出版社2024年春数学作业本九年级数学下册浙教版答案,练习完的同学可以来答案圈核对一下答案。

答案如下,仅供参考:








安徽师范大学出版社2024年春课时A计划九年级数学下册人教版安徽专版答案
2024-03-11 18:00:32
数学这门学科在九年级难度不小,同学们要重视起来,多花时间,多做练习,今天小编为同学们整理了安徽师范大学出版社2024年春课时A计划九年级数学下册人教版安徽专版答案,练习完的同
辽海出版社2024年春新课程能力培养九年级数学下册人教版D版大连专版参考答案
2024-03-11 09:20:11
小编整理了辽海出版社2024年春新课程能力培养九年级数学下册人教版D版大连专版参考答案,内容丰富,感兴趣的可以看过来。这是为初三生搜集到的数学练习册答案,希望能帮到你们。
浙江人民出版社2024年春课时特训九年级数学全一册浙教版答案
2024-03-07 16:38:55
数学这门学科在九年级难度不小,同学们在课下要通过练习来掌握知识,同时进行查缺补漏,今天小编为同学们整理了浙江人民出版社2024年春课时特训九年级数学全一册浙教版答案,练习完
译林出版社2024年春初中数学课课练九年级数学下册苏科版答案
2024-03-07 14:42:00
进入九年级,各学科的难度都会有所增加,同学们要平衡好各科的成绩,在课下要对薄弱知识进行练习,今天小编为同学们整理了译林出版社2024年春初中数学课课练九年级数学下册苏科版答