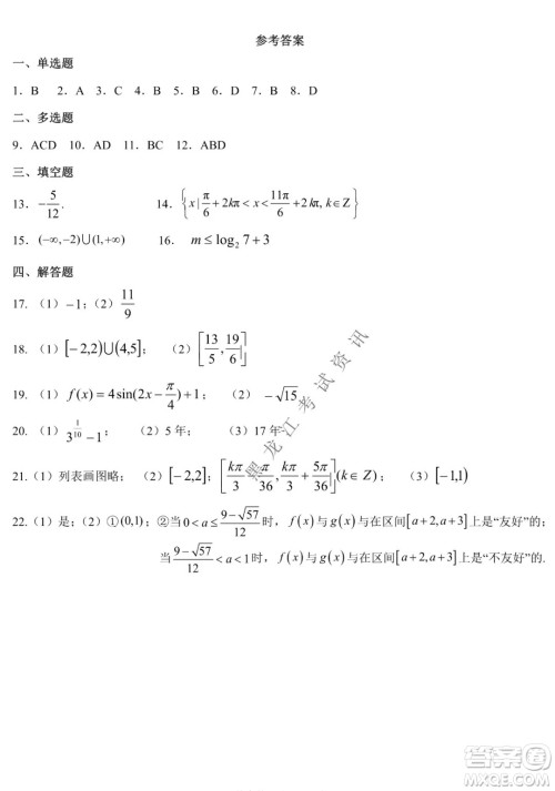
哈师大附中2021级高一上学期期末考试数学试题及答案小编已经为大家收集整理好了,这套试卷帮助学生克服学习过程中的恶习,养成高效学习的习惯,不断提升学习成绩,大家可以到答案圈核对本书的答案哦!

答案如下:





哈师大附中2021级高一上学期期末考试语文试题及答案
2022-01-05 17:06:11
哈师大附中2021级高一上学期期末考试语文试题及答案小编已经为大家收集整理好了,需要答案的同学,可以到答案圈查阅这套试卷的答案哦!哈师大附中2021级高一上学期期末考试语文试
哈师大附中2021级高一上学期期末考试英语试题及答案
2022-01-05 16:45:39
哈师大附中2021级高一上学期期末考试英语试题及答案小编已经为大家收集整理好了,喜欢英语的同学,可以考完试来核对一下答案哦!哈师大附中2021级高一上学期期末考试英语试题及答
铁人中学2020级高二学年上学期期末考试数学试题及答案
2022-01-05 15:29:45
铁人中学2020级高二学年上学期期末考试数学试题及答案小编已经为大家收集整理好了,这套试卷可以使学生了解到自己哪些题目是自己的弱点以及哪些知识点没掌握好,帮助学生更好的
铁人中学2021级高一学年上学期期末考试数学试题及答案
2021-12-29 09:43:42
铁人中学2021级高一学年上学期期末考试数学试题及答案小编已经为大家收集整理好了,这套试卷是对高一学期所学知识点所整合的试卷,可以考学生自身哪些知识点是薄弱的,学生可以针