小编这次收集整理的是浙东北联盟ZDB2023-2024学年高一上学期期中联考的数学试题答案,这个是浙江省平湖中学命题的,总分150分,考试时间120分钟,感兴趣的可以来看看,检查一下自己做的对不对!

答案如下,仅供参考!








广东深圳大学附属实验中学2023-2024学年高一上学期期中考试数学试卷答案
2023-11-23 13:29:08
小编这次收集整理的是广东深圳大学附属实验中学2023-2024学年高一上学期期中考试的数学试卷答案,这个是深大实验中学自主命题的期中考试试卷,也适用于整个广东地区高一学子练
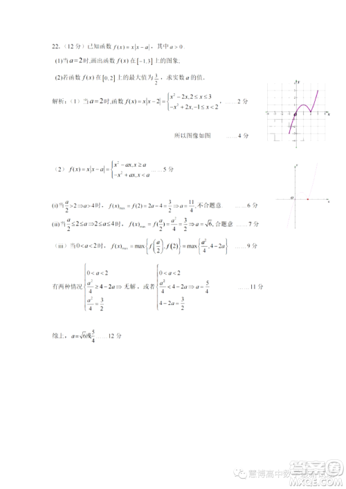
江苏南京师范大学附属中学2023-2024学年高一上学期期中数学试题答案
2023-11-19 09:39:11
小编这次收集整理的是江苏南京师范大学附属中学2023-2024学年高一上学期期中的数学试题答案,这个是南京师大附中高一是数学备课组命题的,也适用于江苏地区的高一学子,想要练习
武汉部分学校2023年高一上学期期中调研考试数学试卷答案
2023-11-17 18:13:37
小编这次收集整理的是武汉部分学校2023年高一上学期期中调研考试的数学试卷答案,这个是武汉市教育科学研究院命制的,2023年11月15日考试的,想要练习一下的可以来试试哦,多做练习
2023学年杭州地区含周边重点中学高一上学期期中联考数学试题答案
2023-11-16 15:51:32
小编这次收集整理的是2023学年杭州地区含周边重点中学高一上学期期中联考的数学试题答案,命题学校是萧山中学、审题学校桐庐中学、审核学校永嘉中学,这个是杭州市及其周边地区