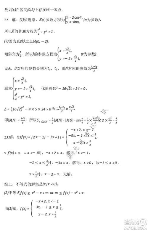
银川一中2022届高三年级第六次月考文科数学试卷及答案小编已经收集整理好了,针对这个段时间复习学习的一次总结,让学生能更好的定位自己的学习情况,为接下来的学习做好准备,需要核对答案的伙伴可以来答案圈看!

本次考试的其他科目小编也有收集整理,需要的伙伴可以在答案圈对应的年级搜索查看!









银川一中2022届高三年级第六次月考理科综合试卷及答案
2022-02-08 11:27:04
银川一中2022届高三年级第六次月考理科综合试卷及答案小编已经收集整理好了,针对这个段时间复习学习的一次总结,让学生能更好的定位自己的学习情况,为接下来的学习做好准备,需要
银川一中2022届高三年级第六次月考理科数学试卷及答案
2022-02-08 11:15:10
银川一中2022届高三年级第六次月考理科数学试卷及答案小编已经收集整理好了,针对这个段时间复习学习的一次总结,让学生能更好的定位自己的学习情况,为接下来的学习做好准备,需要
银川一中2022届高三年级第六次月考英语试卷及答案
2022-02-08 10:59:45
银川一中2022届高三年级第六次月考英语试卷及答案小编已经收集整理好了,针对这个段时间复习学习的一次总结,让学生能更好的定位自己的学习情况,为接下来的学习做好准备,需要核对
2022年1月贵州省高三考试文科数学试卷及答案
2022-01-25 15:18:58
2022年1月贵州省高三考试文科数学试卷及答案小编已经收集整理好了,针对这个段时间复习学习的一次总结,让学生能更好的定位自己的学习情况,为接下来的学习做好准备,需要核对答案