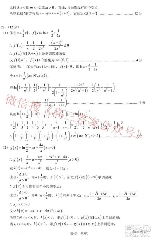
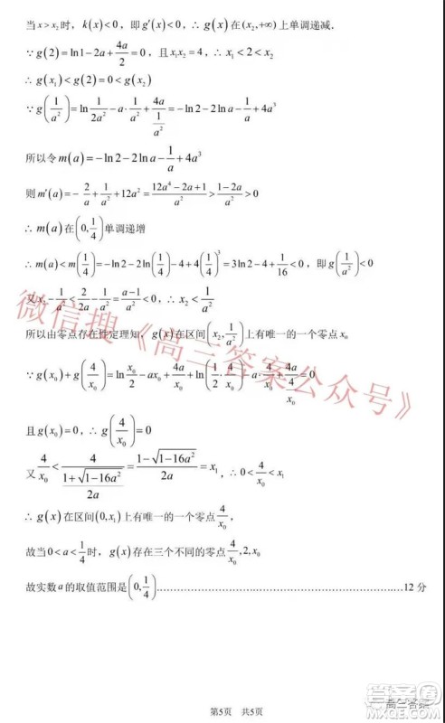
中学生标准学术能力诊断性测试2022年1月测试新高考数学试题及答案小编已经收集整理好了,做好每个阶段的总结学习,全面检验自己的复习情况做好查漏补缺学习,需要核对答案的伙伴可以来答案圈查看!

本次考试的其他科目小编也有收集整理,需要的伙伴可以来答案对应的年级搜索查看!









中学生标准学术能力诊断性测试2022年1月测试文科数学试题及答案
2022-01-08 10:19:41
中学生标准学术能力诊断性测试2022年1月测试文科数学试题及答案小编已经收集整理好了,做好每个阶段的总结学习,全面检验自己的复习情况做好查漏补缺学习,需要核对答案的伙伴可
中学生标准学术能力诊断性测试2022年1月测试理科数学试题及答案
2022-01-08 10:09:40
中学生标准学术能力诊断性测试2022年1月测试理科数学试题及答案小编已经收集整理好了,做好每个阶段的总结学习,全面检验自己的复习情况做好查漏补缺学习,需要核对答案的伙伴可
2022年普通高等学校招生全国统一考试仿真密卷二新高考数学试题及答案
2021-11-17 11:05:38
2022年普通高等学校招生全国统一考试仿真密卷二新高考数学试题及答案小编已经收集整理好了,一轮复习结束后,可以适当做一部分高考真题,最好多找几年的,先从第一个题型,最简单的开
2021届百校联盟12月联考全国卷新高考数学试题及答案
2020-12-18 11:09:19
2021届百校联盟12月联考全国卷新高考数学试题及答案小编已经整理好了,需要核对参考的伙伴来答案圈看看2021届百校联盟12月联考全国卷新高考数学试题及答案本次联考的其他科目