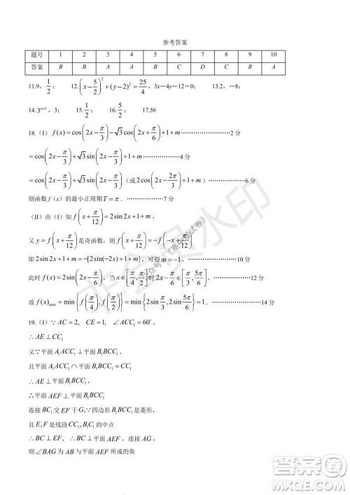
2021年11月温州市普通高中选考适应性测试高三数学试题参考答案已经整理好了,快来看看吧!

答案如下:









2021年11月温州市普通高中选考适应性测试高三地理试题参考答案
2021-11-16 17:55:09
2021年11月温州市普通高中选考适应性测试高三地理试题参考答案小编已经整理好了,需要本书答案的同学,可以自行查阅哦!2021年11月温州市普通高中选考适应性测试高三地理试题参考
2021年11月温州市普通高中选考适应性测试高三物理试题参考答案
2021-11-16 17:46:20
2021年11月温州市普通高中选考适应性测试高三物理试题参考答案小编已经为各位同学收集整理好了,快来答案圈查阅吧!2021年11月温州市普通高中选考适应性测试高三物理试题参考答
2021年11月温州市普通高中选考适应性测试高三生物试题参考答案
2021-11-16 17:40:41
2021年11月温州市普通高中选考适应性测试高三生物试题参考答案小编已经为各位同学收集整理好了,大家可以到答案圈查阅哦!2021年11月温州市普通高中选考适应性测试高三生物试题
2021年11月温州市普通高中选考适应性测试高三历史试题参考答案
2021-11-16 17:34:13
2021年11月温州市普通高中选考适应性测试高三历史试题参考答案小编已经为各位同学收集整理好了,大家可以前来查阅哦!2021年11月温州市普通高中选考适应性测试高三历史试题参考