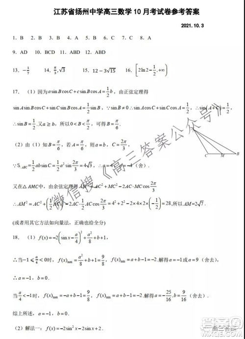
江苏扬州中学高三10月考试数学试题及答案小编已经收集整理好了,首先要学会听课。要有准备的听课,说白了就是提前预习,只有这样,你才能带着疑问有目的听课。这样听的也会更深入,知识点掌握的更牢固。如果,课后发现还是有似懂非懂的地方,一定要花时间和精力去弄懂,否则问题会越积越多。感兴趣的伙伴可以来答案圈看看!

本次联考的其他科目小编也有收集整理,需要的伙伴可以来答案圈在对应的年级搜索查看!









百校联考2022届高三10月调研考试模拟试卷数学试题及答案
2021-10-06 09:32:31
百校联考2022届高三10月调研考试模拟试卷数学试题及答案小编已经收集整理好了,首先要学会听课。要有准备的听课,说白了就是提前预习,只有这样,你才能带着疑问有目的听课。这样听
2021-2022学年上学期东北师大附中高三年级第一次摸底考试理科数学试题及答案
2021-10-06 08:59:28
2021-2022学年上学期东北师大附中高三年级第一次摸底考试理科数学试题及答案小编已经收集整理好了,对于数学这种理科科目,你不需要去翻教材,教材对你来说只是一个辅助工具,最好
2022届普通高等学校招生集英苑线上模拟考试数学试题及答案
2021-10-06 08:48:39
2022届普通高等学校招生集英苑线上模拟考试数学试题及答案小编已经收集整理好了,轮复习所做的主要是让你熟悉基础知识,为我们后来的二三轮复习打好基础。所以,我们在第一轮复习
星云2022届高中毕业生第二次线上联考数学试题及答案
2021-10-06 08:37:20
星云2022届高中毕业生第二次线上联考数学试题及答案小编已经收集整理好了,复习可以让你把整个高中甚至初中阶段的知识全部串联起来,这对我们对知识的掌控非常有意义,因为这样,所