首页小学初中高中专题
当前位置:首页 > 高中答案网 > 高中三年级答案

南京市盐城市2021高三年级第二次模拟数学试卷答案

时间:2021-05-17 17:21:28    作者:答案圈
标签:
2021高三模拟考试答案

南京市盐城市2021高三年级第二次模拟数学试卷答案小编已经为您收集整理好了,做这套测试模拟卷的可以来看看,这个是2021届的高三二模的试卷答案,数学考试总分150分,考试时间120分钟,规定时间内作答!需要核对答案的小伙伴可以点进答案圈了解一下!nGM答案圈

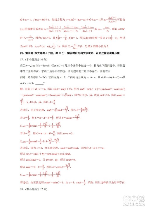
南京市盐城市2021高三年级第二次模拟数学试卷答案nGM答案圈

南京市盐城市2021高三年级第二次模拟数学试卷答案

本次模拟考试的其他科目的答案小编也有整理在答案圈,小伙伴们需要核对参考的可以直接在对应得年级搜素查看即可!nGM答案圈

南京市盐城市2021高三年级第二次模拟数学试卷答案nGM答案圈

南京市盐城市2021高三年级第二次模拟数学试卷答案nGM答案圈

南京市盐城市2021高三年级第二次模拟数学试卷答案nGM答案圈

南京市盐城市2021高三年级第二次模拟数学试卷答案nGM答案圈

南京市盐城市2021高三年级第二次模拟数学试卷答案nGM答案圈

南京市盐城市2021高三年级第二次模拟数学试卷答案nGM答案圈

南京市盐城市2021高三年级第二次模拟数学试卷答案nGM答案圈

南京市盐城市2021高三年级第二次模拟数学试卷答案nGM答案圈

南京市盐城市2021高三年级第二次模拟数学试卷答案nGM答案圈


nGM答案圈

查看更多答案
相关文章
专题推荐

2022小学长江作业本上册系列答案

2022阳光学业评价上册系列答案

2022资源与评价上册系列答案

2022初中全品学练考上册系列答案

2022阳光同学课时优化作业上册系列答案

相关专题
课后作业答案
数学
语文
英语
历史
地理
政治
物理
化学
生物
其他
网友留言
最新更新
金太阳10月联考2022-2023年度高三年级阶段性检测五语文试题及答案
2023高三模拟考试答案 金太阳联考答案
豫南九校2022-2023学年上期第二次联考高三英语试题及答案
2023高三模拟考试答案
豫南九校2022-2023学年上期第二次联考高三生物试题及答案
2023高三模拟考试答案
豫南九校2022-2023学年上期第二次联考高三政治试题及答案
2023高三模拟考试答案