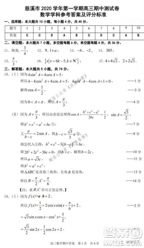
慈溪市2020学年第一学期高三年级期中测试数学试题及答案小编已经收集整理好了,大家做完练习可以来答案圈核对一下

本次考试的其他科目的答案小编也有整理,需要核对参考的伙伴直接在答案圈高三年级搜索即可查看








九师联盟2020-2021学年高三11月质量检测文科数学试题及答案
2020-11-16 18:19:04
九师联盟2020-2021学年高三11月质量检测文科数学试题及答案小编已经收集整理好了,大家做完练习可以来答案圈核对一下九师联盟2020-2021学年高三11月质量检测文科数学试题及答
九师联盟2020-2021学年高三11月质量检测理科数学试题及答案
2020-11-16 18:12:29
九师联盟2020-2021学年高三11月质量检测理科数学试题及答案小编已经收集整理好了,大家做完练习可以来答案圈核对一下九师联盟2020-2021学年高三11月质量检测理科数学试题及答
2021届重庆康德高三期中考数学试题及答案
2020-11-15 11:21:10
2021届重庆康德高三期中考数学试题及答案小编已经收集整理好了,大家做完练习可以来答案圈核对一下2021届重庆康德高三期中考数学试题及答案本次考试的其他科目的答案小编也有
百校联盟2021届普通高中教育教学质量监测考试全国卷新高考数学试题及答案
2020-11-15 10:07:05
百校联盟2021届普通高中教育教学质量监测考试全国卷新高考数学试题及答案小编已经收集整理好了,大家做完练习可以来答案圈核对一下百校联盟2021届普通高中教育教学质量监测考