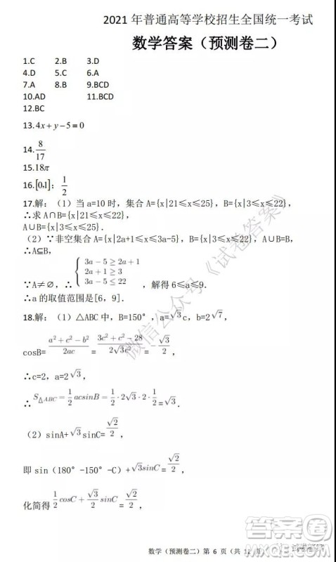
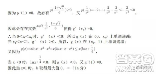
2021年普通高等学校招生全国统一考试预测卷二数学试题及答案小编已经收集整理好了,大家做完练习可以来答案圈核对一下

本次考试的其他科目的答案小编也有整理,需要核对参考的伙伴直接在答案圈高三年级搜索即可查看












2021年普通高等学校招生全国统一考试预测卷二语文试题及答案
2020-11-10 18:08:31
2021年普通高等学校招生全国统一考试预测卷二语文试题及答案小编已经收集整理好了,大家做完练习可以来答案圈核对一下2021年普通高等学校招生全国统一考试预测卷二语文试题及
盐城市2021届高三年级第一学期期中考试数学试题及答案
2020-11-08 10:25:22
盐城市2021届高三年级第一学期期中考试数学试题及答案小编已经收集整理好了,大家做完练习可以来答案圈核对一下盐城市2021届高三年级第一学期期中考试数学试题及答案本次考试
2021届仁寿零诊高三诊断试卷文理科数学试题及答案
2020-11-08 09:25:32
2021届仁寿零诊高三诊断试卷文理科数学试题及答案小编已经收集整理好了,大家做完练习可以来答案圈核对一下2021届仁寿零诊高三诊断试卷文理科数学试题及答案本次考试的其他科
焦作市普通高中2020-2021学年高三年级第一次模拟考试文科数学试题及答案
2020-11-08 08:59:31
焦作市普通高中2020-2021学年高三年级第一次模拟考试文科数学试题及答案小编已经收集整理好了,大家做完练习可以来答案圈核对一下焦作市普通高中2020-2021学年高三年级第一次