蚌埠市2020届高三年级第三次教学质量检查考试数学理工类试题及答案小编已经整理在答案圈,练习完的伙伴可以来核对看看哦

本次联考的其他科目的答案小编也有整理,需要的伙伴可以直接在答案圈高三年级搜索查看








蚌埠市2020届高三年级第三次教学质量检查考试语文试题及答案
2020-04-26 14:22:24
蚌埠市2020届高三年级第三次教学质量检查考试语文试题及答案小编已经整理在答案圈,练习完的伙伴可以来核对看看哦蚌埠市2020届高三年级第三次教学质量检查考试语文试题及答案
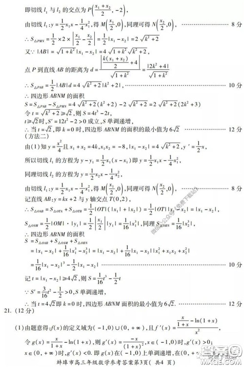
蚌埠市2020届高三年级第三次教学质量检查考试数学文史类参考答案
2020-04-24 10:52:12
蚌埠市2020届高三年级第三次教学质量检查考试数学文史类参考答案小编已经整理在答案圈,练习完的伙伴可以来核对看看哦蚌埠市2020届高三年级第三次教学质量检查考试数学文史类
眉山市高中2017级第二次诊断性考试数学理工类试题及答案
2020-03-25 17:25:26
眉山市高中2017级第二次诊断性考试数学理工类试题及答案小编整理在答案圈了!伙伴们练习完或者遇到不理解的地方可以结合答案看看眉山市高中2017级第二次诊断性考试数学理工类
内江市高中2020届自测数学理工类试题及答案
2020-03-13 11:05:34
内江市高中2020届自测数学理工类试题及答案小编已经整理好了,大家在练习后可以核对下,做好每天学习巩固内江市高中2020届自测数学理工类试题及答案本次联考的其他科目的答案小