首页小学初中高中专题
当前位置:首页 > 高中答案网 > 高中三年级答案

2019-2020学年下学期全国百强名校领军考试高三文科数学试题及答案

时间:2020-02-26 09:44:56    作者:答案圈
标签:
全国百强名校领军考试答案

2019-2020学年下学期全国百强名校领军考试高三文科数学试题及答案小编已经整理好了,大家在练习后可以核对下,做好每天学习巩固vBP答案圈

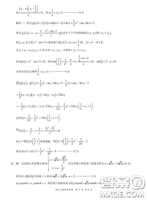
2019-2020学年下学期全国百强名校领军考试高三文科数学试题及答案vBP答案圈

2019-2020学年下学期全国百强名校领军考试高三文科数学试题及答案

本次联考的其他科目的答案小编也有收集整理,需要的伙伴可以直接在答案圈高三年级搜索查看vBP答案圈

2019-2020学年下学期全国百强名校领军考试高三文科数学试题及答案vBP答案圈

2019-2020学年下学期全国百强名校领军考试高三文科数学试题及答案vBP答案圈

2019-2020学年下学期全国百强名校领军考试高三文科数学试题及答案vBP答案圈

2019-2020学年下学期全国百强名校领军考试高三文科数学试题及答案vBP答案圈

2019-2020学年下学期全国百强名校领军考试高三文科数学试题及答案vBP答案圈

2019-2020学年下学期全国百强名校领军考试高三文科数学试题及答案vBP答案圈

2019-2020学年下学期全国百强名校领军考试高三文科数学试题及答案vBP答案圈

2019-2020学年下学期全国百强名校领军考试高三文科数学试题及答案vBP答案圈

2019-2020学年下学期全国百强名校领军考试高三文科数学试题及答案vBP答案圈

2019-2020学年下学期全国百强名校领军考试高三文科数学试题及答案vBP答案圈

2019-2020学年下学期全国百强名校领军考试高三文科数学试题及答案vBP答案圈

2019-2020学年下学期全国百强名校领军考试高三文科数学试题及答案vBP答案圈

查看更多答案
相关文章
2019-2020学年下学期全国百强名校领军考试高三理科数学试题及答案 2020-02-26 09:25:05

2019-2020学年下学期全国百强名校领军考试高三理科数学试题及答案小编已经整理好了,大家在练习后可以核对下,做好每天学习巩固2019-2020学年下学期全国百强名校领军考试高三理

专题推荐

2025年春顶尖课课练下册系列答案

2025黄冈小状元作业本下册答案

2025精彩练习就练这一本系列答案

2025金学典同步解析与测评学练考答案

2024年春一课一练创新练习下册系列答案

2024年高三联考试卷汇总

相关专题
课后作业答案
数学
语文
英语
历史
地理
政治
物理
化学
生物
其他
网友留言
最新更新
2025湘豫名校联考高三春季学期第三次模拟考试化学答案
高三模拟考试 2025高三模拟考试 2025高三模拟试卷答案 2025高三模拟考试答案 高三模拟试卷 高三模拟
2025湘豫名校联考高三春季学期第三次模拟考试物理答案
高三模拟考试 2025高三模拟考试 2025高三模拟试卷答案 2025高三模拟考试答案 高三模拟试卷 高三模拟
2025湘豫名校联考高三春季学期第三次模拟考试语文答案
高三模拟考试 2025高三模拟考试 2025高三模拟试卷答案 2025高三模拟考试答案 高三模拟试卷 高三模拟
2025届百师联盟高三冲刺卷四英语答案
高三模拟考试 2025高三模拟考试 2025高三模拟试卷答案 2025高三模拟考试答案 高三模拟试卷 高三模拟