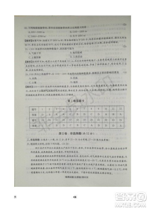
这次小编收集的是2019届湖南省长郡中学高三上学期第五次月考地理试题及答案解析,需要参考的伙伴来答案圈查看哦

每个题都有详细的解析,大家可以核对看看自己的复习是否到位










地理:我地理一直都不错,我觉得学地理一定要多看地图,像地球运动和气候这类图要自己能画出来,我们地理老师一直要求我们把图默出来,最好是知道这些成因。还有大题可以背答题模板,每类题要答什么内容要记住,然后具体问题具体分析。最后多做题吧,我高二上写完了一本小题狂做,感觉还是有用的。而且现在高三一轮复习要分类的练习比较好,可以检验每个知识点的掌握情况。
政治:政治学习要建立起大框架,我们现在复习就是这样,从大的入手,然后一级级往下。建立大框架很重要!我们老师一直强调这个。背书的话,最好抓关键词来背。考试的时候,有关键词就差不多了,同时要对应材料,哲学的还要记得写方法论。
历史:历史方面我不是很好。主要还是背书吧,要多做做题,选择难度比较合适的,不然做了也没什么用。
2019届湖南省长郡中学高三上学期第五次月考语文试题及答案解析
2019-01-15 08:59:03
2019届湖南省长郡中学高三上学期第五次月考语文试题及答案解析小编已经收集整理完成了,需要核对参考的伙伴及时来答案圈查看2019届湖南省长郡中学高三上学期第五次月考语文试
2019届湖南省长郡中学高三上学期第五次月考政治试题及答案解析
2019-01-15 08:47:26
2019届湖南省长郡中学高三上学期第五次月考政治试题及答案解析小编已经整理完成了,需要核对参考的伙伴及时来答案圈查看2019届湖南省长郡中学高三上学期第五次月考政治试题及
吉林省长春外国语学校2019届高三上学期期末考试语文试题及答案
2019-01-15 08:18:03
吉林省长春外国语学校2019届高三上学期期末考试语文试题及答案小编已经收集整理完,需要参考的伙伴注意查看哦吉林省长春外国语学校2019届高三上学期期末考试语文试题及答案长
哈三中2018-2019学年度高二上期末测试地理试卷及答案
2019-01-13 11:02:28
哈三中2018-2019学年度高二上期末测试地理试卷及答案小编已经整理完成了,需要核对参考的伙伴及时来答案圈查看哈三中2018-2019学年度高二上期末测试地理试卷及答案高二数学差
2019届高三长郡中学联考系列答案