首页小学初中高中专题
当前位置:首页 > 高中答案网 > 高中三年级答案

2024届成都七中高三上入学考试理科数学试题答案

时间:2023-09-04 11:29:48    作者:答案圈
标签:
高三联考答案   2024高三模拟考试答案

小编这次收集整理的是2024届成都七中高三上入学考试的理科数学试题答案,这个系列的试卷小编有收集语文的,直接站内搜成都七中就可以了,快来一起看看吧!wwf答案圈

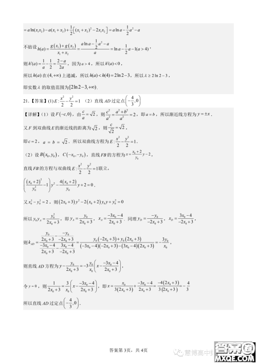
2024届成都七中高三上入学考试理科数学试题答案wwf答案圈

2024届成都七中高三上入学考试理科数学试题答案

答案如下,仅供参考!wwf答案圈

2024届成都七中高三上入学考试理科数学试题答案wwf答案圈

2024届成都七中高三上入学考试理科数学试题答案wwf答案圈

2024届成都七中高三上入学考试理科数学试题答案wwf答案圈

2024届成都七中高三上入学考试理科数学试题答案wwf答案圈

2024届成都七中高三上入学考试理科数学试题答案wwf答案圈

2024届成都七中高三上入学考试理科数学试题答案wwf答案圈

2024届成都七中高三上入学考试理科数学试题答案wwf答案圈

2024届成都七中高三上入学考试理科数学试题答案wwf答案圈


wwf答案圈

查看更多答案
相关文章
重庆八中2024届高三上学期入学测试数学试题答案 2023-09-04 10:58:57

小编这次收集整理的是重庆八中2024届高三上学期入学测试的数学试题答案,这个系列的还有其他学科和其他地区的,重庆地区的高三入学考试还是整合了很多的,有需要的可以来练习一下

2024届北京市高三上学期入学定位考试数学试卷答案 2023-09-04 10:23:04

小编这次收集整理的是北京市的高三上学期入学定位考试数学试卷的答案,这套试卷也是八月底的考试,感兴趣的可以来看看,其他学科的也会陆续收集整理,新的高三开始了,要准备好好复习

2024届江苏南京六校联考高三上学期8月数学试卷答案 2023-09-04 09:51:36

小编这次收集整理的是2024届江苏南京六校联考高三上学期8月的数学试卷答案,这个系列的试卷也是八月底的联考试卷,感兴趣的可以来看看,其他地区的也有整理,站内直接搜地区名字就

炎德英才大联考2024届高三第一次质量检测地理试卷答案 2023-09-01 17:55:06

小编这次收集整理的是炎德英才大联考2024届高三第一次质量检测的地理试卷答案,这个系列的试卷还是很多地区都在使用,这里也整合了不少学科,有需要的可以站内直接搜炎德英才大联

专题推荐

2023口算大通关系列答案

2023阳光同学计算小达人系列答案

2023春季53全优卷下册系列答案

2023全品学练考初中系列答案

相关专题
课后作业答案
数学
语文
英语
历史
地理
政治
物理
化学
生物
其他
网友留言
最新更新
江西稳派2024届高三10月统一调研测试数学试卷答案
高三联考 高三模拟试卷 2024高三模拟考试答案
江西稳派2024届高三10月统一调研测试语文试卷答案
高三联考 高三模拟试卷 2024高三模拟考试答案
金科大联考2024届高三10月质量检测英语试卷答案
高三联考 高三模拟试卷 2024高三模拟考试答案
金科大联考2024届高三10月质量检测数学试卷答案
高三联考 高三模拟试卷 2024高三模拟考试答案

资源已下架