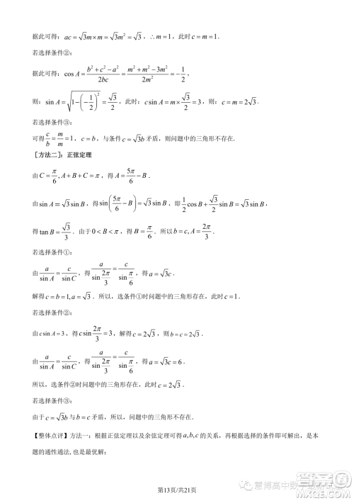
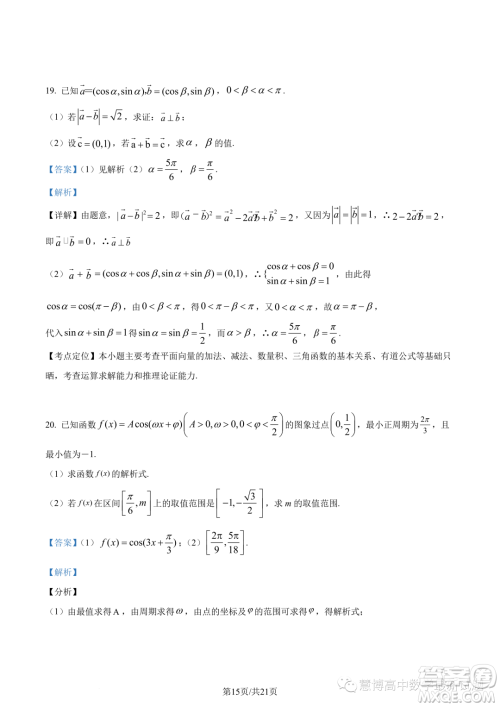
小编这次收集整理的是厦门二中2024届高三上学期8月阶段考试的数学试题答案,这个是高三的阶段性月考,主要是福建地区适用,感兴趣的可以来看看,检查一下自己能够做对多少,对当前复习知识的了解程度!

答案如下,仅供参考!





















百师联盟2024届高三开学摸底联考语文试题答案
2023-08-29 17:59:37
小编这次收集整理的是百师联盟2024届高三开学摸底联考的语文试题答案,这个是高三的开学摸底联考,出题质量还是很不错的,有兴趣的可以来练习一下看看,检查一下自己在暑假期间的学
2023-2024学年福州市高三年级第一次质量检测英语试题答案
2023-08-29 17:50:54
小编这次收集整理的是2023-2024学年福州市高三年级第一次质量检测的英语试题答案,本试卷共12页,全卷满分150分,考试用时120分钟,这个系列的是福州市的联考了,其他学科的也有整理,
2023-2024学年福州市高三年级第一次质量检测物理试题答案
2023-08-29 17:23:46
小编这次收集整理的是2023-2024学年福州市高三年级第一次质量检测的物理试题答案,完成时间75分钟,满分100分,这个系列的还有其他学科的,站内直接搜福州市就可以搜到了!2023-2024
2023-2024学年福州市高三年级第一次质量检测历史试题答案
2023-08-29 16:56:56
小编这次收集整理的是2023-2024学年福州市高三年级第一次质量检测的历史试题答案,试卷完成时间75分钟,满分100分,这个是福州市的高三联考,还有其他学科的也有整合收集,站内直接搜