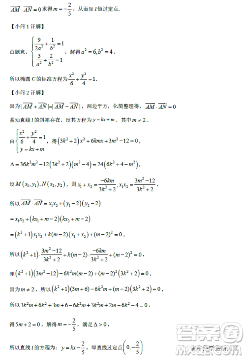
广东2022-2023学年度惠州正光实验学校高三期末考试的数学试卷答案小编收集整理如下,这个是广东省地区的惠州市正光实验学校高三期末考试的模拟试卷,考试范围为高考范围,命题人都是学校老师,做完了之后可以来看看解析分析,不要照抄答案哦!

答案如下,仅供参考!




















2023届新未来元月联考文科数学试题答案
2023-01-17 09:09:21
小编这次收集整理的是2023届新未来元月联考的文科数学试题答案,这个是2023年普通高等学校全国统一模拟招生考试新未来元月联考的文科数学试卷答案,全卷满分150分,考试时间120分
2023届新未来元月联考理科数学试题答案
2023-01-17 08:54:05
小编这次收集整理的是2023届新未来元月联考的理科数学试题答案,这个全卷满分是150分,考试时间是120分钟,想要进行练习的可以来看看,做做试卷,根据参考答案核对一下评估自己的分数
2023年陕西省高三教学质量检测试题一语文试卷答案
2023-01-16 14:53:25
小编这次收集整理的是2023年陕西省高三教学质量检测试题一的语文试卷答案,这个系列的还有其他学科的,有需要进行自我模拟测试的学子可以来看看,做完了之后可以根据解析检查一下
石家庄市2023届高中毕业班教学质量期末检测物理试卷答案
2023-01-16 14:31:27
小编这次收集整理的是石家庄市2023届高中毕业班教学质量期末检测的物理试卷答案,这个是石家庄的高三期末考试物理试卷习题和答案,想要进行模拟练习的可以来看看,检查一下自己做