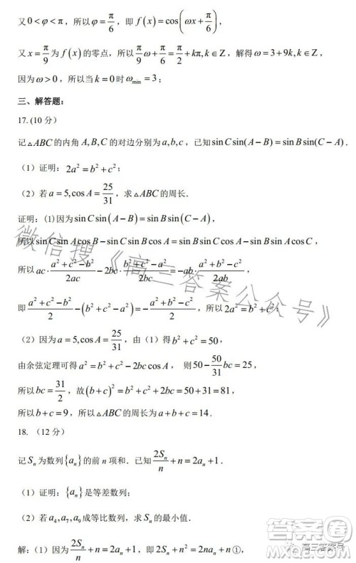
小编这次收集整理的是2023届高三年级1月模拟考试的数学文科试卷答案,这个系列的还有其他学科的,站内直接搜1月模拟考试就可以了。题目和解析都非常适合学生自我线上模拟训练,评估一下自己在上学期还有哪些知识点是疏漏了的,多做补充,才能更好的备战高考!

答案如下,仅供参考!















2023届高三年级1月模拟考试语文试卷答案
2023-01-14 10:29:04
小编这次收集整理的是2023届高三年级1月模拟考试的语文试卷答案,这个系列的还有其他学科的也有整理,站内直接搜1月模拟考试就可以搜到了,多做练习多做试卷对于提升成绩其实还是
铜仁市2022-2023学年度第一学期期末质量监测试卷高三数学理科试卷答案
2023-01-13 17:36:05
小编这次收集整理的是铜仁市2022-2023学年度第一学期期末质量监测试卷的高三数学理科试卷答案,这个是高三本学期的最后一场考试了,还是很重要的,命题出题的质量也不错,其他地区
2023年金太阳1月联考3001C高三数学理科试卷答案
2023-01-13 15:21:48
小编这次收集整理的是金太阳高三数学考试理科的数学试卷题目和参考答案,这个系列的还有整理语文试卷习题和答案,都可以来进行模拟练习,检查自己当前进度的复习水平,也可以巩固知
2023金太阳高三1月联考3001C语文试卷答案
2023-01-13 14:59:32
小编这次收集整理的是2023金太阳高三1月联考3001C的语文试卷答案,这个系列的还有其他学科的和其他版本的,站内搜金太阳就可以搜到了,一月份高三阶段还是有很多考试的,多做模拟训