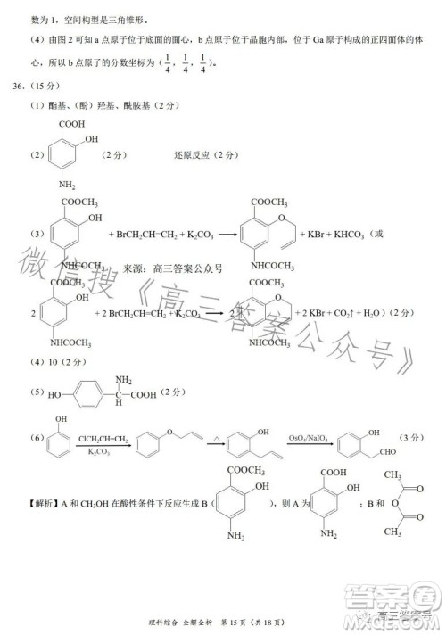
小编这次收集整理的是2022年高三12月大联考考后强化卷的理科综合试卷答案,这个系列的试卷小编还有整合其他学科的,直接搜强化卷就可以搜到,自我模拟的话对于理科生来说还是很有必要的,多做练习多巩固复习,才能在最后的高考一举得胜!

答案如下,仅供参考!


































2022年高三12月大联考考后强化卷理科数学试卷答案
2023-01-06 09:32:51
小编这次收集整理的是2022年高三12月大联考考后强化卷的理科数学试卷答案,这个系列的还有其他学科的,站内直接搜强化卷就可以搜到,在放假期间也要多做练习多模拟考试环境,提升自
2022年高三12月大联考考后强化卷语文试卷答案
2023-01-06 09:14:10
小编这次收集整理的是2022年高三12月大联考考后强化卷的语文试卷答案,这个系列的还有其他学科的,站内搜考后强化卷就可以了,十二月底的考试,针对高三第一学期的学习进行一个评估
慕华优策2022-2023学年高三年级第一次联考文科数学试卷答案
2023-01-05 16:35:14
小编这次收集整理的是高三年级第一次联考的文科数学试卷,之前还有整理理科数学试卷和语文试卷,综合考量,都可以来测试模拟,多做练习题也是有好处的。多练习多复习,题海训练加强记
慕华优策2022-2023学年高三年级第一次联考理科数学试卷答案
2023-01-05 15:50:46
小编这次收集整理的是慕华优策2022-2023学年高三年级第一次联考理科数学的试卷答案,这个主要是北方地区在用的联考,含金量还可以,老高考模式地区的学生可以用这套试卷来进行模拟