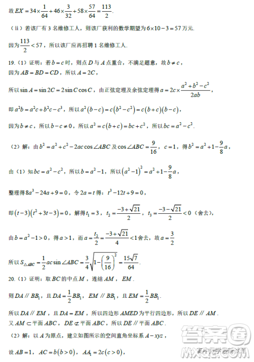
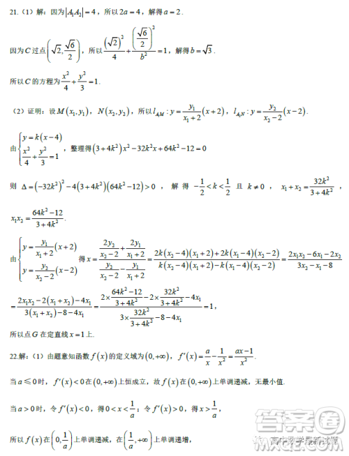
小编这次收集整理的是山西部分学校2023届高三上学期期末的数学试题答案,这个是山西的高三数学考试,本次试卷的命题范围是高考范围,想要进行模拟训练的可以来看看,检查一下自己做的对不对,有哪些知识点是还没有掌握的,都是要在下学期努力的哦!

答案如下,仅供参考!














永州一中2023年高三上学期元月大联考数学试题答案
2023-01-05 10:26:37
小编这次收集整理的是永州一中2023年高三上学期元月大联考的数学试题答案,永州一中是湖南省永州市的高级中学,试卷范围也符合湖南地区的高考范围内容,想要练习的可以来看看自己
张家口市2022-2023学年高三上学期期末考试数学试题答案
2023-01-04 16:54:04
小编这次收集整理的是张家口市2022-2023学年高三上学期期末考试的数学试题答案,这个是张家口市的元月考试,也是期末考试,高三调研考试还是比较重要的,其他地区的想要来进行模拟
达州市普通高中2023届第一次诊断性测试理科数学试题答案
2023-01-03 17:45:34
小编这次收集整理的是达州市普通高中2023届第一次诊断性测试的理科数学试题答案,达州市联考的试卷还是不错的,可以用来进行综合复习,很多知识点都是需要反复训练的,好记性不如烂
2023届深圳中学高三上学期第二次阶段测试数学试题答案
2023-01-03 17:21:37
小编这次收集整理的是2023届深圳中学高三上学期第二次阶段测试的数学试题答案,这个比较适合深圳地区考试,本试卷考试范围为高考范围,在综合答题的时候也可以了解一下,自己是哪些