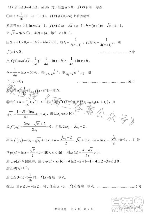
小编这次收集整理的是山东省实验中学2023届高三第三次诊断考试的数学试卷答案,这个是山东实验中学的高三三诊考试,也是12月月中的考试,想要来模拟测试的可以来看看,做完了根据答案解析和得分点来判断一下自己能得多少分吧!

答案如下,仅供参考!











2023金太阳高三12月联考23-180C历史试卷答案
2022-12-19 11:14:25
小编这次收集整理是2023金太阳高三12月联考23-180C系列的历史试卷答案,这次整合的是全科目的,想要测试的学子可以来一套完整的测试,各个学科的都有,建议根据试卷来做题,做完了之
2023金太阳高三12月联考23-180C思想政治试卷答案
2022-12-19 11:04:44
小编这次收集整理的是2023金太阳高三12月联考23-180C系列的思想政治试卷答案,其他学科的也有收集整理,这个全科站内都有,搜金太阳或者180C就可以了!金天阳系列有很多编号,对应编
2023金太阳高三12月联考23-180C语文试卷答案
2022-12-19 09:54:14
小编这次收集整理的是2023届的金太阳高三12月联考23-180C语文试卷的答案,其他的学科站内直接搜金太阳就可以搜到了,这个系列的试卷还是很多地区都在使用的,比如这次的23-180C就
2022年秋季定靖横新三边教育联盟高三12月联考理科数学试卷答案
2022-12-19 09:03:10
小编这次收集整理的是2022年秋季定靖横新三边教育联盟高三12月联考理科数学试卷的答案,这个系列的还有其他学科的,站内直接搜新三边就可以搜到,这次的联考也是12月的一次重量级