广西2022年9月联盟校入学统一检测卷高三文科数学试题及答案小编已经收集整理好了,高三学生张扬在平时要扎实地学好知识,通过形成知识网络建立起有效的知识体系,借助理解记忆等方式调动复习的积极性,巩固所学的知识,建立起有效的检索体系,在需要运用知识的时候能准确、及时地提取出来。练习完的伙伴可以来答案圈查看答案

本次联考的其他科目答案圈也是有收集整理的,小伙伴们可以在答案圈高三年级搜索查看!








广西2022年9月联盟校入学统一检测卷高三语文试题及答案
2022-09-06 11:00:30
广西2022年9月联盟校入学统一检测卷高三语文试题及答案小编已经收集整理好了,高三学生在考试时经常答案就在嘴边就是写不出来这种情况就是我们所说的“舌尖现象”,它常会影响
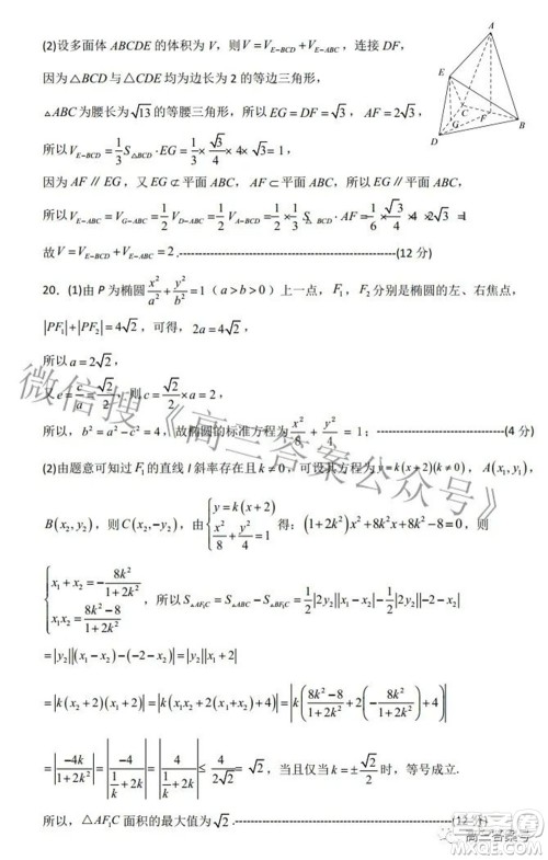
2023届金太阳8月联考1001C高三文科数学试题及答案
2022-08-30 14:43:18
2023届金太阳8月联考1001C高三文科数学试题及答案小编已经收集整理好了,高三第一学期综合复习阶段:梳理知识、完善知识与方法体系、形成良好思维习惯(内容多、综合性强)知识细节
2023届九师联盟开学考老高考高三文科数学试题及答案
2022-08-29 09:29:12
2023届九师联盟开学考老高考高三文科数学试题及答案小编已经收集整理好了,这次的新高三开学考试是在8月27日开始的,让学生能很清楚的了解到自己对高中知识的掌握情况,从而在接
河南省名校联盟2022-2023学年高三上学期摸底联考高三文科数学试题及答案
2022-08-05 15:18:24
河南省名校联盟2022-2023学年高三上学期摸底联考高三文科数学试题及答案小编已经收集整理好了,及时检验这段时间学生们的复习情况,做好及时的巩固提高,大家可以在考完后来答案