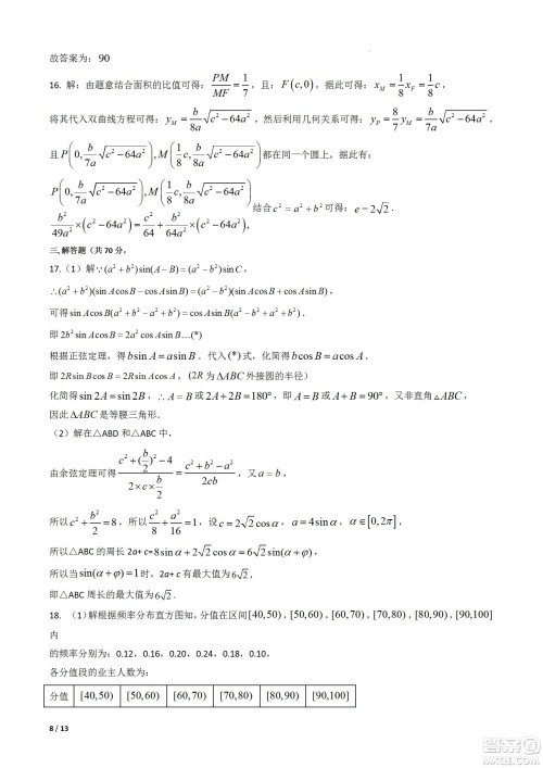
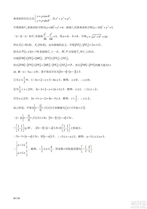
成都树德中学2020级高三上期入学考试文科数学试题及答案小编已经收集整理好了,翻看一下曾经做过的试卷、作业、资料等,会发现许多知识点都是重复的,所以没有必要把有限的精力投入到无限的题海当中,只有多对不同类型的题型进行总结归纳即可。考完需要核对答案的伙伴可以来答案圈看看!

本次联考的其他科目答案圈也是有收集整理的,小伙伴们可以在答案圈高三年级搜索查看!












成都树德中学2020级高三上期入学考试理科数学试题及答案
2022-09-01 08:47:52
成都树德中学2020级高三上期入学考试理科数学试题及答案小编已经收集整理好了,帮助大家收心和检验大家对高中知识的掌握情况,为接下来的复习备考做好铺垫。考完需要核对答案的
成都树德中学2020级高三上期入学考试历史试题及答案
2022-09-01 08:37:15
成都树德中学2020级高三上期入学考试历史试题及答案小编已经收集整理好了,帮助大家收心和检验大家对高中知识的掌握情况,为接下来的复习备考做好铺垫。考完需要核对答案的伙伴
成都树德中学2020级高三上期入学考试地理试题及答案
2022-09-01 08:22:52
成都树德中学2020级高三上期入学考试地理试题及答案小编已经收集整理好了,帮助大家收心和检验大家对高中知识的掌握情况,为接下来的复习备考做好铺垫。考完需要核对答案的伙伴
成都树德中学2020级高三上期入学考试语文试题及答案
2022-09-01 08:11:49
成都树德中学2020级高三上期入学考试语文试题及答案小编已经收集整理好了,高考复习量大、面广、时间紧,因此,复习过程中注意学习方法的运用、总结、提炼,是考生提高复习效率的一