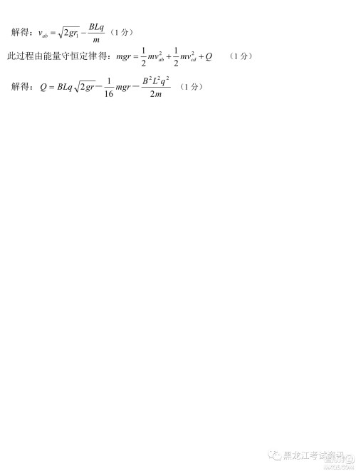
大庆铁人中学2020级高二下学期开学考试物理试卷及答案小编已经为大家收集整理好了,需要答案的同学,快来答案圈看看吧!

答案如下:












大庆铁人中学2020级高二下学期开学考试数学试卷及答案
2022-03-07 16:03:04
大庆铁人中学2020级高二下学期开学考试数学试卷及答案小编已经为大家收集整理好了,有对数学感兴趣的同学,可以到答案圈查阅参考哦!大庆铁人中学2020级高二下学期开学考试数学试
大庆铁人中学2020级高二下学期开学考试英语试卷及答案
2022-03-07 15:46:16
大庆铁人中学2020级高二下学期开学考试英语试卷及答案小编已经为大家收集整理好了,考完试的同学,可以到答案圈查阅答案哦!大庆铁人中学2020级高二下学期开学考试英语试卷及答案
大庆铁人中学2020级高二下学期开学考试语文试卷及答案
2022-03-07 15:19:48
大庆铁人中学2020级高二下学期开学考试语文试卷及答案已经为大家收集整理好了,需要答案的同学,可以到答案圈查阅核对哦!大庆铁人中学2020级高二下学期开学考试语文试卷及答案答
厦门市2022届高三毕业班第二次质量检测物理试卷及答案
2022-03-05 09:04:32
厦门市2022届高三毕业班第二次质量检测物理试卷及答案小编已经收集整理好了,针对这一学期学习成果的检验,让学生能更好的定位自己的学习情况,为接下来的学习做好准备,需要核对答