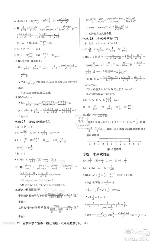
龙门书局2022启东中学作业本八年级数学下册苏科版宿迁专版参考答案小编已经为大家收集整理好了,本书是由龙门书局出版社出版编写,本书所设计的题目由易到难,由基础到提高,使学生更系统的学习和应用数学知识。通过本书的长期反复训练,必定能够使你的运算技巧、分析能力与思维方式得到显著的提升,快来看看吧!

答案如下:
















































龙门书局2022启东中学作业本八年级英语下册译林版宿迁专版参考答案
2022-01-28 16:09:30
龙门书局2022启东中学作业本八年级英语下册译林版宿迁专版参考答案小编已经为大家收集整理好了,本书是由龙门书局出版社出版设计,本书根据初中生的特点,帮助学生克服学习过程中
龙门书局2022启东中学作业本八年级数学下册苏科版徐州专版参考答案
2022-01-28 15:46:38
龙门书局2022启东中学作业本八年级数学下册苏科版徐州专版参考答案小编已经为大家收集整理好了,本书是由龙门书局出版社出版编写,如果你已经写完本书的练习题了,可以试着对一下
龙门书局2022启东中学作业本八年级语文下册人教版徐州专版参考答案
2022-01-28 15:29:39
龙门书局2022启东中学作业本八年级语文下册人教版徐州专版参考答案小编已经为大家收集整理好了,本书是由龙门书局出版社出版设计,本书便于学生形成系统化的知识体系,及迅速提高
龙门书局2022启东中学作业本八年级英语下册译林版徐州专版参考答案
2022-01-28 15:15:35
龙门书局2022启东中学作业本八年级英语下册译林版徐州专版参考答案小编已经为大家收集整理好了,本书是由龙门书局出版设计,这本书已经为大家更新好了,有需要答案核对的同学,可以