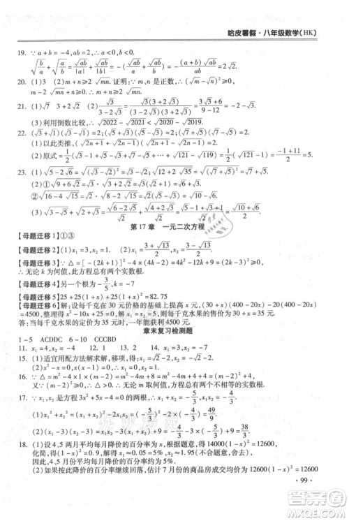
合肥工业大学出版社2021哈皮暑假八年级数学沪科版参考答案小编已经为各位同学收集整理好了,这本书是由合肥工业大学出版社出版,本书倡导同步提优的理念,与相应版本教材完全配套,与教学课时基本同步。有对这本书感兴趣的小伙伴,快来答案圈查阅答案吧!

答案如下,仅供参考!
















合肥工业大学出版社2021哈皮暑假八年级语文人教版参考答案
2021-08-16 07:50:19
合肥工业大学出版社2021哈皮暑假八年级语文人教版参考答案小编已经为各位小伙伴收集整理好了,这本书是由合肥工业大学出版社出版编写,本书所设计的题目形式多样,紧贴考试题型,能
合肥工业大学出版社2021哈皮暑假八年级英语人教版参考答案
2021-08-16 07:38:11
合肥工业大学出版社2021哈皮暑假八年级英语人教版参考答案小编已经为各位同学收集整理好了,这本书是由合肥工业大学出版社出版设计,本书帮助同学们及时巩固所学知识,及时发现并
合肥工业大学出版社2021哈皮暑假七年级数学沪科版参考答案
2021-08-15 11:49:26
合肥工业大学出版社2021哈皮暑假七年级数学沪科版参考答案小编已经为各位同学们收集整理好了,本书主要汇集了各年级学生所学到的各种课外知识点,结合学生本阶段认知,对不同讲次
合肥工业大学出版社2021哈皮暑假七年级英语人教版参考答案
2021-08-15 11:39:23
合肥工业大学出版社2021哈皮暑假七年级英语人教版参考答案小编已经为各位同学收集整理好了,这本书是由合肥工业大学出版社出版编写,本书紧跟教材的教学要求精心编写,题目设计科