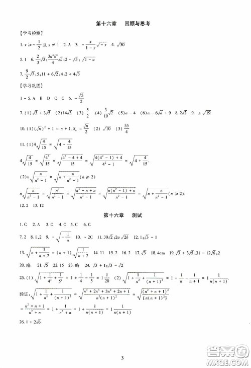
小编这次收集整理的是智慧学习八年级数学下册的答案,这个系列的小编整理了很多学科的,做完了的可以来找找,输入智慧学习查找对应学科和年级就可以找到了,非常方便。

答案如下,仅供参考!
















明天出版社2020智慧学习八年级语文下册答案
2020-05-11 16:42:03
明天出版社出版的 智慧学习系列丛书的教辅小编这次收集整理的是八年级语文下册的答案,使用这本练习册的可以做完了之后来检查一下,这系列的小编也整理了很多,直接站内搜书名吧!
2020新版一本同步训练初中道德与法治八年级下册人教版答案
2020-05-11 16:40:34
一本同步训练系列更新啦,下学期答案小编已经整理了很多,初中道德与法治八年级下册人教版答案已经分享给大家,做习题的时候难免会遇到不能理解的题目,答案中有详细的解析供大家参
明天出版社2020智慧学习地理八年级全一册答案
2020-05-11 16:31:23
小编这次收集整理的是智慧学习地理八年级全一册的答案,使用这本练习册的可以来检查一下,看看自己做的对不对吧!这个系列的还是收集整理了蛮多的,直接站内搜书名就能找到了!明天出
明天出版社2020智慧学习物理八年级下册答案
2020-05-11 16:28:03
明天出版社2020智慧学习物理八年级下册的答案小编已经收集整理好了,做完了的可以来检查一下,看看自己做的对不对,不要直接照抄答案哦!明天出版社2020智慧学习物理八年级下册答案