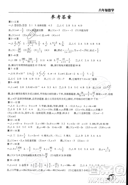
进入八年级,数学这门学科的难度不小,同学们要利用好假期时间,及时回顾所学的重难点知识。今天小编为同学们整理了文心出版社2023年暑假作业天天练八年级数学通用版答案,练习完的同学可以来答案圈核对一下答案。

本书的ISBN为9787551015684,答案如下:


文心出版社2023年暑假作业天天练七年级数学通用版答案
2023-08-01 17:16:32
今天小编为同学们整理了文心出版社2023年暑假作业天天练七年级数学通用版答案,本练习内容丰富全面,让同学们在假期通过针对性强的反复训练,帮助同学们巩固所学的重难点知识,练习
文心出版社2023年暑假作业天天练七年级数学人教版答案
2023-08-01 17:00:05
进入初中,各学科的难度都会有所增加,同学们要重视起来,在假期要多做练习,巩固好所学的知识。今天小编为同学们整理了文心出版社2023年暑假作业天天练七年级数学人教版答案,练习完
文心出版社2023年暑假作业天天练五年级数学北师版答案
2023-08-01 16:49:18
今天小编为同学们整理了文心出版社2023年暑假作业天天练五年级数学北师版答案,本练习将教材中的重难点知识分布到题型中,帮助同学们进行针对性专项训练,通过训练提升能力,练习完
文心出版社2023年暑假作业天天练五年级数学通用版答案
2023-08-01 16:29:33
今天小编为同学们整理了文心出版社2023年暑假作业天天练五年级数学通用版答案,本练习根据教材知识点编写,由易到难,让同学们在假期可以通过训练来巩固所学的知识点,提升成绩。练