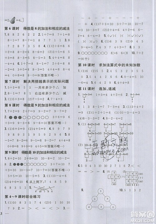
吉林人民出版社2019小学题帮数学一年级上册新课标江苏版参考答案小编已经整理发布在答案圈了,其他年级和其他版本的小编也有整理哦,有需要的朋友快去答案圈搜索吧!

ISBN编号: 9787206160073,吉林人民出版社出版,马瑞主编,名师划重点,培优天天练。















2019年秋星级口算天天练四年级数学上册苏教版答案
2019-08-15 09:15:28
2019年秋星级口算天天练四年级数学上册苏教版参考答案小编已经整理好发布在答案圈了,有需要学快来对对的同答案吧!2019年秋星级口算天天练四年级数学上册苏教版ISBN编号: 97875
吉林人民出版社2019小学题帮数学六年级上册青岛版参考答案
2019-08-15 09:10:14
吉林人民出版社2019小学题帮数学六年级上册青岛版参考答案小编已经整理发布在答案圈了,其他年级和其他版本的小编也有整理哦,有需要的朋友快去答案圈搜索吧!吉林人民出版社2019
吉林人民出版社2019小学题帮数学五年级上册青岛版参考答案
2019-08-15 08:55:48
吉林人民出版社2019小学题帮数学五年级上册青岛版参考答案小编已经整理发布在答案圈了,其他年级和其他版本的小编也有整理哦,有需要的朋友快去答案圈搜索吧!吉林人民出版社2019
吉林人民出版社2019小学题帮数学四年级上册青岛版参考答案
2019-08-15 08:46:50
吉林人民出版社2019小学题帮数学四年级上册青岛版参考答案小编已经整理发布在答案圈了,其他年级和其他版本的小编也有整理哦,有需要的朋友快去答案圈搜索吧!吉林人民出版社2019
2019小学题帮上学期答案