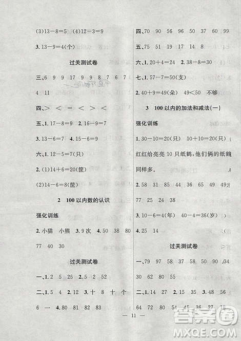
小编收集整理了暑假集训2019年一年级数学人教版RJ期末复习暑假作业衔接教材答案,感兴趣的学生可以及时核对哦

ISBN编号: 9787565039492 出版社名称: 合肥工业大学出版社 出版时间:2019年4月








2019年轻松总复习假期作业三年级数学轻松暑假R人教版参考答案
2019-07-20 11:55:49
2019年轻松总复习假期作业三年级数学轻松暑假R人教版参考答案小编已经收集整理好了需要核对参考的伙伴注意查看哦!2019年轻松总复习假期作业三年级数学轻松暑假R人教版参考答
2019年轻松总复习假期作业四年级数学轻松暑假R人教版参考答案
2019-07-20 09:41:26
2019年轻松总复习假期作业四年级数学轻松暑假R人教版参考答案小编已经收集整理好了需要核对参考的伙伴注意查看哦!2019年轻松总复习假期作业四年级数学轻松暑假R人教版参考答
2019年暑假集训一年级数学北师版BS期末复习暑假作业衔接教材答案
2019-07-20 09:37:32
小编收集整理了2019年暑假集训一年级数学北师版BS期末复习暑假作业衔接教材答案,需要答案的学生可以及时核对哦2019年暑假集训一年级数学北师版BS期末复习暑假作业衔接教材答
2019年轻松总复习假期作业四年级语文轻松暑假R人教版参考答案
2019-07-20 09:21:07
2019年轻松总复习假期作业四年级语文轻松暑假R人教版参考答案小编已经收集整理好了需要核对参考的伙伴注意查看哦!2019年轻松总复习假期作业四年级语文轻松暑假R人教版参考答