2018年善用成语出口成章一年级A版参考答案,需要辅导孩子的家长来答案圈了解一下

A版同心出版社ISBN9787547716755善用成语出口成章一年级。本书为方便小读者阅读采用注音版,同时在每个小短文的下面还有生动的漫画,让学生学的开心看的有趣,是很不错的学生启蒙读物





1,文体一定要清晰。很多学生作文不得高分是因为写出的作文四不像。不是记叙文,不是议论文,也不说散文,还不是小说。如果写记叙文要以叙事为主,文章可以运用动作、语言等人物描写方法。还可以运用环境描写烘托、渲染。如果写议论文,一定要有论点,引用事例为论点服务,有的同学叙事过长,缺少议论。
这样的四不像作文读起来最难受,得分自然就低。平时写作文时,一定要养成写作前列提纲的习惯。第一步,拟题;第二步,确定文体;第三步,选材;第四步,段落大致安排。这样写作文就不容易文体不清了。
2,选材越小越感人。很多同学作文不能得高分,是因为假大空。内容太假,选材过大,写的较空洞。要学会在生活中选材,最能触动自己心灵的东西一定能触动阅卷老师。那些触动心灵的材料在哪里呢?我们的生活中。
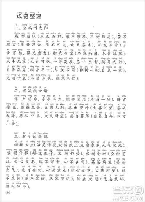
2018年善用成语出口成章三年级A版参考答案
2018-09-13 14:05:01
2018年善用成语出口成章三年级A版参考答案,给孩子更好的语文启蒙阅读,感兴趣的来答案圈了解一下2018年善用成语出口成章三年级A版参考答案同心出版社ISBN978754771679善用成语
9787107316913初中同步测控优化设计八年级数学上册人教版参考答案
2018-09-13 11:22:04
9787107316913初中同步测控优化设计八年级数学上册人教版参考答案,小编收集在答案圈了,感兴趣的学生可以随时查看9787107316913初中同步测控优化设计八年级数学上册人教版参考
2018新版初中同步测控优化设计八年级英语上册人教版参考答案
2018-09-13 11:03:27
9787107316883优化设计2018新版八年级英语上册人教版参考答案,小编收集在答案圈了,感兴趣的学生可以随时进行查看2018新版初中同步测控优化设计八年级英语上册人教版参考答案I
9787806203583全品作业本语文2018人教版七年级上参考答案
2018-09-13 10:32:19
9787806203583全品作业本语文2018人教版参考答案,小编已经收集好了,感兴趣的来答案圈了解9787806203583全品作业本语文2018人教版参考答案本书由阳光出版社出版其特色是分册