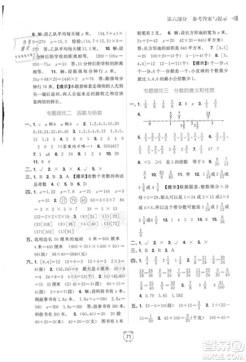
江苏凤凰美术出版社2021超能学典暑假衔接优学练五年级数学江苏版参考答案小编已经为各位小伙伴收集整理好了,这本书是由江苏凤凰美术出版社出版编写,针对五年级数学课上所学的各个知识点对学生进行全面辅导,减少学生做题错误率,从而帮助学生提高自身成绩,如果你正在使用这本书,大家可以到答案圈核对一下答案,看看你自己做的对不对,但是不要抄答案哦!

答案如下,欢迎参考!










江苏凤凰美术出版社2021超能学典暑假衔接优学练五年级语文全国版参考答案
2021-07-28 19:12:16
江苏凤凰美术出版社2021超能学典暑假衔接优学练五年级语文全国版参考答案小编已经为各位小伙伴收集整理好了,这本书是由江苏凤凰美术出版社出版编写,本书所设计的题目形式多样
江苏凤凰美术出版社2021超能学典暑假衔接优学练四年级语文全国版参考答案
2021-07-28 18:57:10
江苏凤凰美术出版社2021超能学典暑假衔接优学练四年级语文全国版参考答案小编已经为各位小伙伴们收集整理好了,这本书是由江苏凤凰美术出版社进行设计,根据小学生的特点,帮助学
江苏凤凰美术出版社2021超能学典暑假衔接优学练四年级数学江苏版参考答案
2021-07-28 18:47:18
江苏凤凰美术出版社2021超能学典暑假衔接优学练四年级数学江苏版参考答案小编已经为各位小伙伴收集整理好了,这本书是由江苏凤凰美术出版社出版编写,本书不仅设有全面系统的课
江苏凤凰美术出版社2021超能学典暑假衔接优学练三年级语文全国版参考答案
2021-07-28 18:37:19
江苏凤凰美术出版社2021超能学典暑假衔接优学练三年级语文全国版参考答案小编已经为各位小伙伴收集整理好了,这本书是由江苏凤凰美术出版社出版编写,本书紧跟教材的教学要求精
2021五年级暑假作业系列答案