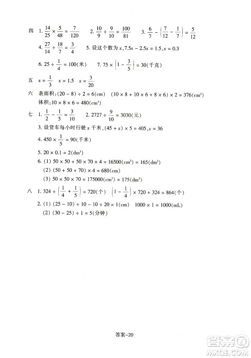
浙江少年儿童出版社2021每课一练五年级下册小学数学B北师大版答案已经为各位读者整理好了,配合最新版义务驾驭课程标准编写,全面的巩固提高学生各个方面能力,正在使用本书的伙伴可以来答案圈看看!

本书系列的其他年级和科目的答案小编也有整理收集,大家可以在答案圈对应的年级搜索查看。




















浙江少年儿童出版社2021每课一练五年级下册小学数学B北师大版丽水专版答案
2021-06-04 10:14:40
浙江少年儿童出版社2021每课一练五年级下册小学数学B北师大版丽水专版答案已经为各位读者整理好了,配合最新版义务驾驭课程标准编写,全面的巩固提高学生各个方面能力,正在使用
浙江少年儿童出版社2021每课一练四年级下册小学数学B北师大版答案
2021-06-04 09:59:13
浙江少年儿童出版社2021每课一练四年级下册小学数学B北师大版答案已经为各位读者整理好了,配合最新版义务驾驭课程标准编写,全面的巩固提高学生各个方面能力,正在使用本书的伙
浙江少年儿童出版社2021每课一练四年级下册小学科学J教科版答案
2021-06-04 09:47:52
浙江少年儿童出版社2021每课一练四年级下册小学科学J教科版答案已经为各位读者整理好了,配合最新版义务驾驭课程标准编写,全面的巩固提高学生各个方面能力,正在使用本书的伙伴
浙江少年儿童出版社2021每课一练四年级下册小学英语R人教版答案
2021-06-04 09:35:48
浙江少年儿童出版社2021每课一练四年级下册小学英语R人教版答案已经为各位读者整理好了,配合最新版义务驾驭课程标准编写,全面的巩固提高学生各个方面能力,正在使用本书的伙伴
2021每课一练系列答案